Springe auf Hauptinhalt Springe auf Hauptmenü Springe auf SiteSearch
WERBUNG
WERBUNG
WERBUNG
... der Wirkungsgrad von Solaranlagen?

Flachko vs. Röhre

Für den Anlagenmechaniker stellt sich daher die Frage, zu welchem Kollektortyp er seinem Kunden rät. Wenn beide völlig gleichwertig wären, bräuchte man nur nach dem Preis gucken und könnte eine Entscheidung fällen. Wenn jedoch zwei Systeme mit gleichem Ziel nebeneinander existieren und dann auch noch einen unterschiedlichen Aufbau und Preis aufweisen, dann muss die parallele Existenz jeweils begründbar sein.

Gemeinsames

Flachkollektoren (FK) und Vakuumröhrenkollektoren (VRK) besitzen beide eine Absorberfläche (lateinisch absorptio = Aufsaugung). Hierauf vollzieht sich gewissermaßen die Umwandlung von Solarstrahlung, also dem Sonnenlicht, in Wärme. Der Absorber besteht meistens aus Metall und ist selektiv (lateinisch selectio = Auslese) beschichtet. Diese Schicht soll möglichst umfangreich die Wärmestrahlung sammeln und wenig Strahlungswärme abgeben. Dazu ist seit Entstehung thermischer Solaranlagen diese Beschichtung immer weiterentwickelt und verbessert worden. Reichte anfangs noch eine Schwärzung mit Ruß, kommen auf modernen Kollektoren schon sehr spezielle Überzüge zum Einsatz. Die umgewandelte Energie aus Strahlung wird dann als Wärme weitergeleitet. An dem Absorberblech sind dazu Rohre angebracht, in denen eine Flüssigkeit diese Wärme aufnimmt und dann den Abtransport zum Solarspeicher ermöglicht.

Bild: Bosch Thermotechnik

Der Aufbau eines einfachen Flachkollektors
1 Solar-Sicherheitsglas
2 Aluminiumrahmen
3 Robuste Schutzecke
4 Aluminium-Vollflächenabsorber

Der Flachkollektor

Der Absorber eines FK liegt in einem Gehäuse aus Kunststoff oder Metall. Nach unten, auf der sonnenabgewandten Seite, ist der Kollektor wärmegedämmt. Eine Auskühlung unter dem Kollektor würde den solaren Ertrag mindern. Nach oben, auf der sonnenzugewandten Seite, ist der FK mit einer geeigneten durchsichtigen Fläche abgedeckt. Die solare Strahlung soll möglichst ungehindert durch dieses Fläche hindurchdringen. Gleichzeitig soll verhindert werden, dass die bereits gesammelte Wärmeenergie wieder an die Umgebung abgegeben wird. Ein Kompromiss ist daher unumgänglich. Der Kompromiss ist in folgenden Zusammenhängen zu sehen. Ein sehr dünnes Glas ließe zwar die Strahlung sehr leicht eindringen, würde aber eine unbefriedigende Dämmwirkung aufweisen. Das hätte zur Folge, dass der Bereich unter dieser dünnen Scheibe bei Erwärmung abkühlen würde. An einem klaren, kühlen Wintertag könnte also die Sonne den Bereich unter dieser Scheibe auf 30 °C erwärmen und die – 5 °C kalte Umgebung würde diesen Wärmesammlerraum sehr schnell abkühlen.

Würde jedoch, um mal ein drastisches Beispiel zu bemühen, eine Dreischeibenverglasung angebracht, wäre der Strahlungsdurchgang stark behindert, die resultierenden Wärmeverluste aber wären gering. Die Sonne müsste sich gewissermaßen durch drei Scheiben hindurchquälen. Die Folge wäre, dass sich am gleichen Wintertag der Bereich unter der Scheibe nur auf 25 °C erwärmen würde, dafür aber auch nicht so schnell abkühlen würde.

Ein Holzfass wird von stählernen Reifen umfasst. Die Holzscheite werden dabei gewissermaßen verdichtet durch die Umklammerung. Ähnlich drückt die Umgebungsluft auf einen vakuumierten Glaskolben.

Bild: Getty Images

Ein Holzfass wird von stählernen Reifen umfasst. Die Holzscheite werden dabei gewissermaßen verdichtet durch die Umklammerung. Ähnlich drückt die Umgebungsluft auf einen vakuumierten Glaskolben.

Der Vakuumröhrenkollektor

Der VRK wird in deutlich kleineren Einheiten gebaut als der Flachkollektor. Die einzelnen Röhren werden, je nach Hersteller, zu Gruppen zusammengefasst. Wie auch beim FK ist die eigentliche Absorberfläche einerseits gegen Wärmeverluste isoliert, andererseits soll durch die der Sonne zugewandten Glasoberfläche die Solarstrahlung leicht eintreten können. Um dieses Ziel zu erreichen, hat man die Absorberfläche durch einen doppelwandigen Glaszylinder umschlossen. Zwischen der äußeren und inneren Glasoberfläche besteht meistens ein Vakuum. Dieses Vakuum ist ja letztlich auch Namensgeber für diese Röhren.

Im Prinzip handelt es sich dabei um eine transparente Thermosflasche. Sie lässt die solare Strahlung eintreten, verhindert aber, effizienter als beim FK, die Auskühlung. Zugegebenerweise muss das Sonnenlicht bei einem VRK erst durch zwei Glasflächen eintreten und wird dadurch stärker gebremst als beim einscheibigen FK. Aber die Isolierwirkung der Vakuumröhre ist unbestritten besser als jene des Glases auf dem FK.

Im Vakuum sind nun mal keine Luftteilchen, die sich zum Schwingen anregen lassen und auf diese Weise Wärme leiten. Darin liegt der Dämmeffekt begründet.

Warum nicht Vakuumflachkollektor?

Natürlich hat man an der Entwicklung von einfachen Flachkollektoren gearbeitet und deren Innenleben inklusive Dämmeigenschaften optimiert. Und es gab auch Flachkollektoren, in denen ein Vakuum herrschen sollte oder besondere Edelgase waberten. Jedoch war das konstruktiv nicht gut beherrschbar. Ein gedankliches Experiment zeigt, warum.

Gedankenexperiment

Der Umgebungsdruck beträgt für gewöhnlich rund 1 bar, das entspricht 100.000 Pascal [Pa]. Die Einheit Pascal ergibt sich aus Newton pro Quadratmeter. Die Einheit Newton ist eine Kraft. Eine Masse von 1 Kilogramm [kg] bewirkt eine Gewichtskraft von rund 10 Newton [N] (genauer 9,81 N).

Der springende Punkt kommt jetzt:

Bauen Sie mal gedanklich einen Flachkollektor mit einer Glasfläche von 2 Quadratmetern [m²] und ziehen Sie ein Vakuum unter dieser Glasfläche, also da, wo sich der eigentliche Absorber erwärmt. Rechnen Sie mal nach, mit welchem vergleichbaren Gewicht diese Glasfläche von 2 m² nach innen gedrückt wird.

Richtig, das entspricht in etwa einer Gewichtskraft von 200.000 N, also einer Masse von 20.000 kg.

Man müsste also diese Konstruktion des Kollektors derart stabil bauen, dass die Scheibe einer Gewichtskraft von 20.000 kg widersteht und sich nicht nach innen ziehen lässt.

Baut man hingegen kleine Einheiten, mit geringer Fläche, so wird die Belastung geringer. Sind diese kleinen Einheiten dann auch noch kreisrunde Glaskolben, kann man getrost ein Vakuum ziehen. Das Glas wird ja dann nicht als plane Fläche zusammengedrückt, sondern eher, wie ein Holzfass, von seinen Metallringen umschlossen und gepresst. Das kann das Glas ganz gut ab. Es stabilisiert sich dabei gewissermaßen selbst, wird es doch gleichmäßig zusammengedrückt.

Also, das Vakuum ist etwas für überschaubar kleine Kolben, aber nix für große, ebene Flächen.

Die beiden Kollektortypen im Vergleich: Bei geringer Temperaturdifferenz punktet der Flachko, ansonsten die Röhre

Bild: IBH

Die beiden Kollektortypen im Vergleich: Bei geringer Temperaturdifferenz punktet der Flachko, ansonsten die Röhre

Gewinne und Verluste

Einerseits kann also die Strahlung besser durch das einfache Glas des FK eintreten und damit die Absorberfläche erwärmen. Andererseits wird die soeben geerntete Wärme auch wieder leichter abgegeben als beim VRK. Da stellt sich die Frage: Hebt sich dieser Effekt dann irgendwie auf und sind in der Folge damit die Wirkungsgrade der beiden Kollektortypen gleich? Vorweg schon mal ein deutliches „Jein“. Der Sinn dieser solaren Anlagen ist ja das Sammeln von Wärmeenergie. Beide Kollektortypen erwärmen sich also zwangsläufig an einem sonnigen Tag. Beide Typen geben also, sobald die Kollektoren wärmer sind als die Umgebung, jene gesammelte Energie zu einem Teil wieder an die Umgebung ab. Eine perfekte Dämmung ganz ohne Wärmeverluste gibt es nicht. Der FK lässt die Sonnenstrahlung etwas leichter eintreten und hat leichte Wirkungsgradvorteile bei beginnender Sonneneinstrahlung. Der VRK bietet den Sonnenstrahlen beim Eintritt bis zur Absorberfläche einen größeren Widerstand. Eingefangene Wärme wird aber in der „Thermoskanne“ besser zurückgehalten. Hohe Temperaturdifferenzen zur Umgebung verkraftet der Röhrenkollektor daher besser. An einem strahlenden Wintertag mit niedrigen Außentemperaturen zeigt sich dieser Vorteil der Röhre daher sehr deutlich.

Der Vakuumröhrenkollektor mit seinen kleinen Einheiten an vakuumierten Kolben

Bild: Bosch Thermotechnik

Der Vakuumröhrenkollektor mit seinen kleinen Einheiten an vakuumierten Kolben

In Zahlen und Grafik

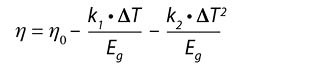
Man unterscheidet für Kollektoren allgemein drei Einflussfaktoren auf den jeweiligen Wirkungsgrad. Einer dieser Einflüsse ist unabhängig von der Umgebungstemperatur. Dies betrifft den so genannten optischen Wirkungsgrad. Gemeint ist damit der Anteil des Sonnenlichts, der durch die schützende Glashülle zum Absorber dringt. Werte für moderne Flachkollektoren liegen meistens etwas höher als für Röhrenkollektoren. Dies resultiert, wie bereits beschrieben, aus der Tatsache, dass das energiereiche Licht beim FK einmal und beim VRK zweimal das Glas durchschreiten muss. Als weitere Größe ergibt sich eine Verlustleistung des Kollektors bei seiner Erwärmung. Diese nimmt naturgemäß mit steigender Temperaturdifferenz zur Umgebung zu. Ein Teil dieser Wärme wird durch Konvektion, ein anderer durch Strahlung abgegeben. Man unterscheidet daher zwei sogenannte Wärmeverlustbeiwerte, nämlich k1 und k2 (herstellerabhängig auch a1 und a2). Die Formel zur Ermittlung des gesamten Kollektorwirkungsgrades berücksichtigt daher diese drei Einflüsse gemäß folgender Formel:

Dabei ist:

η = Kollektorwirkungsgrad

η0 = optischer Wirkungsgrad

k1 = Wärmeverlustbeiwert in W/(m²K)

k2 = Wärmeverlustbeiwert in W/(m²K²)

ΔT = Temperaturdifferenz in K

Eg = Bestrahlungsstärke in W/m²

Ein Beispiel soll die Zusammenhänge kurz rechnerisch verdeutlichen. Dabei wird bei ansonsten gleicher Einstrahlung und Temperaturdifferenz der FK dem VRK gegenübergestellt. Ausgangslage ist ein sonniger Tag mit 20 °C Außentemperatur, während der Kollektor bereits auf 60 °C aufgeheizt ist. Der Lorenz knallt mit 800 W/m².

η0 = 84 % (typisch für FK)

k1 = 4 W/(m²K) (typisch für FK)

k2 = 0,02 W/(m²K²) (typisch für FK)

ΔT = 40 K (für beide Kollektoren)

Eg = 800 W/m² (für beide Kollektoren)

Für den FK gilt dann:

und für den VRK

η0 = 80 % (typisch für VRK)

k1 = 1,5 W/(m²K) (typisch für VRK)

k2 = 0,005 W/(m²K) (typisch für VRK)

ΔT = 40 K (für beide Kollektoren)

Eg = 800 W/m² (für beide Kollektoren)

Unter den genannten äußeren Bedingungen sind die beiden Kollektoren jeweils mit einem Wirkungsgrad von 60 % für den Flach- und 71,5 % für den Röhrenkollektor unterwegs.

Schlechtes Wetter

Nimmt die Strahlung jedoch erheblich ab oder trifft nur noch diffus auf die Kollektoren, so wird die Differenz des Wirkungsgrades zwischen den beiden Typen nochmals größer. Bei ansonsten gleichen Werten soll die bereits berechnete Situation nochmals durchgerechnet werden, allerdings mit einer Bestrahlungsstärke von nur noch 300 W/m². Dann ergibt sich für den Flachkollektor:

und für die Röhre

Der Flachkollektor geht bei mäßiger Einstrahlung und entsprechend hoher Temperaturdifferenz gehörig in die Knie. An einem kalten Wintertag mit nur diffuser Strahlung bringt er noch 20 % Wirkungsgrad. Der VRK spielt jetzt die Vorteile seiner Bauart extrem aus und liegt immer noch bei über 50 % Wirkungsgrad.

Charakteristisch ist die blau schimmernde Oberfläche des Flachkollektors

Bild: Bosch Thermotechnik

Charakteristisch ist die blau schimmernde Oberfläche des Flachkollektors

Fazit

Der FK kann mit seinem günstigeren Preis punkten. Sein Aufbau ist einfach, aber nicht so effektiv. Mit seinen Muskeln spielt der VRK bei ungünstigen Witterungsbedingungen. Es kommt also darauf an, was mit dem Kollektor erreicht werden soll. Wird dieser zur Unterstützung der Warmwasserbereitung vorgesehen, so kann die wirtschaftliche Variante ein FK sein. Denkt man über die Heizungsunterstützung im Winter nach, so hat der VRK die Nase sicherlich vorn. Denn im Winter sind die Außentemperaturen gering und ein Kollektor der sich aufheizt, ist dieser niedrigen Temperatur ausgesetzt und kühlt sich folglich ab. Je besser die Dämmung, desto geringer die Abkühlung. Damit ist das Vakuum der Röhre als Isolator im Vorteil gegenüber einer einfachen transparenten Scheibe beim Flachkollektor.

Aus rein technischer Sicht spricht der Wirkungsgrad übers Jahr sicherlich ebenfalls für den VRK.

Break-even-point

Wenn diese Werte für den FK und VRK je nach Umgebungsbedingungen mal für den einen und dann für den anderen besser sind, muss es ja auch einen Betriebspunkt mit Gleichstand geben. Diesen bezeichnet man im englischen als Break-even-point. Daher gibt es hier also auch kein klares Votum für den besseren Kollektor.

Absorberfläche in Schwarz

Die Absorberfläche ist in der Regel schwarz, weil so kaum eine Spiegelung stattfindet. Spiegeln oder Reflektieren wäre nämlich das Gegenteil des Absorbierens, also des Aufsaugens. Ein schwarzer Körper reflektiert nur wenig vom auftreffenden Licht. Vielmehr wird Licht geschluckt und in Wärme umgewandelt.

AUTOR

Dipl.-Ing. (FH) Elmar Held
ist verantwortlicher Redakteur des SBZ Monteur. Er betreibt ein TGA-Ingenieurbüro, ist Dozent an der Handwerkskammer Münster und Hochschule Düsseldorf, sowie öffentlich bestellter und vereidigter Sachverständiger; Telefon (0 23 89) 95 10 21; Telefax (0 23 89) 95 10 22

Bild: Held

WERBUNG