Springe auf Hauptinhalt Springe auf Hauptmenü Springe auf SiteSearch
WERBUNG
WERBUNG
WERBUNG
Thermostatventil

Die drei wichtigen Kenndaten des Ventils

Warum der abgebildete Absperrschieber nicht zur Regelung eines Volumenstroms taugt, klären wir in diesem Bericht.

Suranto – stock.adobe.com

Warum der abgebildete Absperrschieber nicht zur Regelung eines Volumenstroms taugt, klären wir in diesem Bericht.

Solange SHK-Profis mit fließendem Wasser umgehen, solange werden auch Ventile eingesetzt, um den Volumenstrom zu beeinflussen. Unser Experte Elmar Held spricht im Beitrag wichtige Grundlagen an, um den Durchblick bei den ­äußerlich recht schlichten Bauteilen zu behalten.

Die Funktionen des Öffnens und Schließens sind nicht die einzigen Aufgaben eines Ventils. Vielmehr soll jede Zwischenstellung kalkulierbar sein. Eigenschaften eines klassischen Ventils sollen daher an einem Thermostatventil (THV) beschrieben werden.

Aufgabe eines THV

Beim Einsatz eines THV gehen wir davon aus, dass dieses den Heizbetrieb des Heizkörpers bedarfsgerecht und selbstständig anpasst. Das eigentliche Ventilgehäuse ist Thema dieses Beitrags.

Unter planmäßigem Heizbetrieb strömt im Auslegungsfall der berechnete Volumenstrom durch die Öffnung des THV. Bspw. soll ein Heizkörper im Auslegungsfall 1221 W liefern, bei einer Spreizung von 15 K. Dann sollten eben planmäßig 70 l/h durch das Ventil fließen.

Öffnet jemand das Fenster und lässt dabei kalte Luft herein, fährt auch das Ventil etwas weiter auf als in der Auslegungsstellung. Erwärmt ein Sonnenstrahl von außen durchs Fenster den Raum, wird das Ventil etwas schließen. Das funktioniert zwar tadellos und wird kaum vom Kunden beachtet oder wahrgenommen, ist aber letztlich der Verdienst von uns als SHK-Profis, wenn sich dieser Regelungsvorgang wie beschrieben auswirkt.

Der soeben beschriebene Ablauf wird vom Thermostatkopf ausgelöst. Die Hubarbeit des THV-Kopfes findet auf dem Bruchteil eines Millimeters statt. Nur 0,22 mm pro Grad Temperaturveränderung am Thermostatkopf müssen ausreichen, um das Ventil entsprechend zu beeinflussen und den Volumenstrom anzupassen.

Jetzt wird es spannend: Auf kleinstem Raum und ohne Fremdenergie soll eine kostengünstige Lösung die Wasserheizung eines Raumes komfortabel regeln. Ein solcher Ventilkörper hat also einiges an Entwicklungsarbeit über sich ergehen lassen. Schauen wir mal, welche Wissenschaft dahintersteckt.

Ein Schnittmodell offenbart, dass ein Thermostatventil nicht nur öffnet und schließt und dabei maximal strömungsgünstig sein soll. Die feine Ausarbeitung des Fließweges hat einige Gründe.

Oventrop

Ein Schnittmodell offenbart, dass ein Thermostatventil nicht nur öffnet und schließt und dabei maximal strömungsgünstig sein soll. Die feine Ausarbeitung des Fließweges hat einige Gründe.

Verschlüsselte Kenndaten

Der Ventilkörper eines THV hat einige Kenndaten, die sich abhängig vom jeweiligen Einsatz beschreiben lassen. Drei wesentliche Kenndaten schlüsseln wir hier auf und stellen diese im Zusammenhang vor. Da sich diese Kenndaten auch auf andere Bereiche der SHK-Welt übertragen lassen, ist der Durchblick am Ende umfassend in Bezug auf die Ventil-Welt allgemein. Motto: „Kennste eins, kennste alle“.

Die wichtigen Kenndaten eines Ventils sind:
● Kv-Wert
● Ventilautorität
● Proportionalabweichung

Kv-Wert berechnen

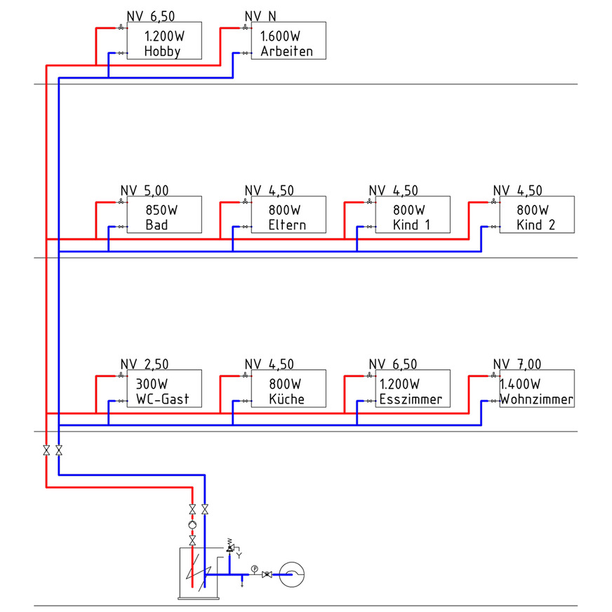
In einer Heizungsanlage bekommt ein pumpennaher Heizkörper mit kleiner Leistung von 300 W eine andere Ventileinstellung als ein entfernter mit hoher Leistung von 1600 W.

IBH

In einer Heizungsanlage bekommt ein pumpennaher Heizkörper mit kleiner Leistung von 300 W eine andere Ventileinstellung als ein entfernter mit hoher Leistung von 1600 W.

Im einfachsten Fall stelle ich mir Heizkörper in einem Wohnhaus vor, die sämtlich mittels angepasstem Rohrquerschnitt angeschlossen wurden. Vor jeden dieser Heizkörper setze ich den gleichen Ventiltyp mit gleicher Voreinstellung.

Die Anforderungen in dem Haus sind aber sichtbar unterschiedlich: Ein Heizkörper ist direkt in der Nähe der Umwälzpumpe nach nur 2 m Leitungslänge angeschlossen, ein anderer erst nach 20 m Rohrverlauf. Der eine Heizkörper im WC-Gast soll im Auslegungsfall nur 300 W liefern, der im Arbeitszimmer 1600 W. Alle anderen Heizkörper liegen irgendwo zwischen diesen Extremen.

Sie merken schon an den beschriebenen Unterschieden, dass es auf den sogenannten hydraulischen Abgleich hinausläuft, denn: Den sehr pumpennahen Heizkörper überschwemmt es durch die installierten Einheitsventile mit Heizungswasser, während der weit entfernte verhungert. Auch wird für keinen der Heizkörper eine Anpassung an die Leistung und damit des Volumenstroms vorgenommen.

Formel zur Berechnung des Kv-Werts.

Formel zur Berechnung des Kv-Werts.

Eine Lösung, um die verwendeten Einheitsventile auf diese Aufgabe vorzubereiten wäre es, kleine gelochte Scheiben in das Ventil zu packen, gewissermaßen eine Blende.

Ein Ventil, das zu heftig durchströmt würde, bekäme eine gelochte Scheibe mit kleiner Bohrung. Das Heizwasser würde an dieser Klein-Loch-Scheibe gebremst und würde eher den Weg zu einem Heizkörper mit größerem Loch wählen.

Am entferntesten Heizkörper, der vielleicht auch noch eine hohe Leistung haben soll, würde man eine Blende mit großer Bohrung vorsehen, und dieser könnte fast ungebremst durchströmt werden.

Hat man die richtigen Blenden eingesetzt und die Funktion sämtlicher Heizkörper hierdurch angepasst, hätte man jedem Einheitsventil jeweils unterschiedliche Druckverluste verpasst und auf diese Weise den Durchfluss reguliert. Sinngemäß: Eine kleine Bohrung erzeugt einen höheren Druckverlust als eine große Bohrung.

Diese Formel kann man beliebig umstellen.

Diese Formel kann man beliebig umstellen.

Das mit den durchbohrten Scheiben würde funktionieren, hat sich in der Praxis aber nicht bewährt. Stattdessen passt man die Ventile durch entsprechende Ventileinsätze oder Voreinstellungen an.

Sinngemäß gilt wiederum: Ein sehr enger Durchgang führt zu einem hohen Druckverlust und umgekehrt.

Und genau dieser Zusammenhang steckt hinter der Angabe eines Kv-Wertes. Er beschreibt die Druckverluste eines Ventils.

Sie stutzen, weil da steht „Druckverluste“, also die Mehrzahl? Das Motto des Kv-Wertes ist: „Kennt man einen Druckverlust bei einem Volumenstrom, kann man auf andere logisch schließen“.

Genauer gesagt weist der Kv-Wert den Volumenstrom eines Ventils bei 1 bar aus. Kennt man den Volumenstrom bei 1 bar, kann man sich jeden anderen errechnen. Die Abhängigkeiten sind nämlich in eine einfache Formel zu packen (siehe rechts).

Drei Rechen-Beispiele:

Beispiel 1

Ein Ventil verursacht einen Druckverlust von 0,05 bar, wobei 100 Liter Wasser pro Stunde durch dieses Ventil strömen.

Welchen Kv-Wert besitzt es?

Beispiel 2

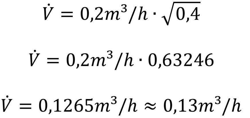
Welcher Volumenstrom stellt sich bei einem Ventil mit einem Kv-Wert von 0,2 m³/h ein, wenn der Druckverlust 400 mbar beträgt?

Beispiel 3

Welche Druckdifferenz stellt sich bei einem Ventil ein mit einem Kv-Wert von 0,15 m³/h, wenn ein Volumenstrom von 80 l/h hindurchfließt?

Ein Ventil, ein Kv-Wert und unzählige Werte, die man davon ableiten kann. Und dabei ist es völlig uninteressant, mit welcher Maßnahme dieser Druckverlust erreicht wird. Die durchbohrte Scheibe ist ebenso gut wie ein Ventileinsatz. Und jedes Ventil besitzt diese Eigenschaft.

In der Fortsetzung der Schlüsse, die man daraus zieht, ist es also erst einmal völlig gleichgültig welcher Hersteller ein Ventil mit einem bestimmten Kv-Wert liefert. Sie reagieren alle gleich.

Falsche Einheiten beim Kv-Wert?

Stellt man die Formel zum Kv-Wert um und trägt die Einheiten fein säuberlich ein, so stellt man fest, dass da zum Schluss eigentlich etwas mit den Einheiten nicht stimmt. Man hat sich aber in der Strömungstechnik darauf geeinigt, diese Beziehungen so herzustellen. Es handelt sich nämlich um eine sogenannte „zugeschnittene Größengleichung“.

Ventilautorität

In einem Heizungsrohrnetz „reibt“ sich das fließende Wasser immer an den Rohrwandungen. Es entsteht also auch immer ein sogenannter Rohrreibungsdruckverlust. Auf dem Hin- und Rückweg zwischen Wärmeerzeuger und Heizkörper stellt sich daher immer eine Druckdifferenz ein, auch ohne ein eingebautes THV.

Bleiben wir gedanklich bei dem anfänglichen Beispiel mit dem Einheitsventil ohne Blenden oder verschiedene Ventileinsätze, wird es regelungstechnisch interessant in Bezug auf den Einfluss, den diese Ventile auf den Wasserfluss haben.

Ein Gedankenmodell hilft dieses Problem zu verstehen:

Würde man als Einheitsabsperrung in diesem Kreislauf an jedem Heizkörper einen Zwei-Zoll-Schieber einsetzen, könnte man durch das Auf- und Zudrehen des Schiebers zweifellos den Volumenstrom zu jedem Heizkörper regulieren. Ganz geöffnet ergibt sich ein freier Fluss durch die „riesige“ Öffnung des Schiebers.

Gehen wir davon aus, dass dieser Schieber sich mit insgesamt 10 Drehungen am Handrad komplett schließen ließe, so lässt sich nachvollziehen, dass die erste Drehung in Richtung Schließen kaum etwas bewirkt in Bezug auf den Volumenstrom durch diesen Schieber und damit durch den angeschlossenen Heizkörper. Das Wasser fließt fast ungehindert weiter. Auch die zweite, dritte und achte Umdrehung erzeugt kaum eine Änderung im Fluss des Wassers. Erst die letzten beiden Umdrehungen des Schließens sorgen entscheidend für ein Abbremsen des Wassers. Erst auf den letzten Millimetern des Schließens stellt sich ein Druckverlust ein, der im Verhältnis zum Druckverlust des gesamten Rohrverlaufs ein echtes Hindernis darstellt.

Und diesen Einfluss nennt man, Sie ahnen es schon, Ventilautorität.

In diesem Zusammenhang kann man als Thermostatventil also festhalten: Ich, als THV, bin nicht vor diesem Heizkörper montiert worden, um das Heizwasser möglichst ungehindert durch den Heizkörper strömen zu lassen. Meine Aufgabe ist es, schon bei geringer Bewegung des Ventilkegels in Richtung Öffnen oder Schließen einen kräftigen Einfluss auf den Durchfluss zu bewirken. Ich herrsche autoritär und nicht strömungsgünstig.

Proportionalabweichung

Im Folgenden wird nochmals und zum besseren Verständnis die Erklärung hergeleitet anhand von Beispielen:

Beispiel 4: Heizlüfter

In Rot dargestellt das Regelverhalten eines Heizlüfters und in Blau das eines Thermostatventils.

IBH

In Rot dargestellt das Regelverhalten eines Heizlüfters und in Blau das eines Thermostatventils.

Ein Heizlüfter besitzt integriert im Ein- und Ausschalter einen Thermostaten. Stellt man damit eine gewünschte Raumtemperatur ein, so schaltet sich der Heizlüfter bei Überschreiten dieser Temperatur um bspw. 1 K ganz ab. Wird die Wunschtemperatur durch Abkühlung des Raumes irgendwann wieder um bspw. 1 K unterschritten, schaltet sich der Heizlüfter wieder ein. Der Lüfter läuft daher bei Temperaturen zwischen 19 bis 21 °C, wenn die Wunschtemperatur auf 20 °C eingestellt wird.

Dabei handelt es sich erkennbar um einen Zweipunktregler mit akzeptabler Abweichung von der Wunschtemperatur.

Theoretisch könnte man den Thermostaten dieses Heizlüfters auch mit geringerer Abweichung von der Solltemperatur herstellen, aber dann würde die Schaltung kippelig. Würde man diesen Thermostatschalter übertrieben auf 0,1 K Abweichung genau bauen, so würde ständig ein- und ausgeschaltet. Er würde bei 19,9 °C einschalten und bei 20,1 °C wieder abschalten. Der Heizlüfter würde ins Takten geraten.

Oventrop

Diagramm (1) zur Ventilauslegung:
Die Ventilauswahl für eine Anforderung von
a) 30 mbar Druckverlust (x-Achse, waagerecht) und
b) 70 kg/h als Massenstrom (y-Achse, senkrecht)
entscheidet über den Einstellwert von kurz vor 7 für das Ventil.

Beispiel 5: Thermostatventil mit Kopf

Oventrop

Diagramm (2) zur Bestimmung der Proportionalabweichung:
Die Eintragung der Werte aus Diagramm (1) weist auf die zu erwartende P-Abweichung hin:
a) 30 mbar Druckverlust (x-Achse, waagerecht)
b) 70 kg/h als Massenstrom (y-Achse, senkrecht) führt zu einem
c) Kv-Wert von 0,4 m³/h
d) Zum Schnitt mit der Kurve zur P-Abweichung, die endet auf 1,2 K.

Ein THV ist deutlich flexibler unterwegs als die Regelung eines Heizlüfters. Bei Erreichen einer gewählten Raumtemperatur lässt das THV einen angemessenen Volumenstrom fließen und hält den Raum damit annähernd gleichmäßig auf Temperatur. Wenn also keine Störgröße die Verhältnisse im Raum verändert, schnurrt der Heizkörper vor sich hin. Aber auch bei einem THV akzeptiert man eine Abweichung vom Sollwert, um ein ruhigeres Regelverhalten zu Erreichen. Zwar könnte man ebenfalls eine super genaue Regelung bauen, nur wäre der Aufwand und der daraus resultierende Nutzen unverhältnismäßig und es würde wiederum recht kippelig. Man akzeptiert eine Abweichung von 1 bis 2 K.

Das bedeutet konkret, dass bspw. bei einer Solltemperatur von 20 °C der Auslegungsvolumenstrom durch das Ventil strömt. Bei einer Proportionalabweichung von 1 K wäre das Ventil dann bei 21 °C geschlossen.

Kurz überlegt kann man messerscharf schließen, dass wenn ein Thermostatkopf sich um 0,22 mm/K ausdehnt, das Ventil dann also um 0,22 mm geöffnet ist bei 20 °C, um diese Aufgabe zu erfüllen.

Wird es in dem Raum mit 20 °C auch nur ein Grad wärmer, reicht das bereits, um die letzten 0,22 mm zuzufahren.

Die Proportionalabweichung ist also eine akzeptierte ­Größe. Diese Abweichung lässt sich aber nicht aus dem Regal greifen. Damit ist gemeint, dass man nicht einfach schlicht ein Ventil mit einer absoluten Abweichung einbaut. Vielmehr stellt sich diese Genauigkeit aufgrund des Kv-Wertes und der Ventilautorität ein.

Wie hängt das alles zusammen?

Die drei Begriffe, die dem Thermostatventil zugeordnet werden, hängen funktionell zusammen.

Der Kv-Wert beschreibt den Druckverlust eines Ventils und beeinflusst damit zwangsläufig auch die Ventilautorität. Jedes THV hat im realen Einsatz eine Abweichung vom Sollwert. Es ist gut, wenn diese Abweichung nicht zu groß wird und bis zwei K beträgt. Denn diese zwei K Temperaturdifferenz als Proportionalbereich des Ventils reichen dann aus, um das Ventil ausgehend vom Auslegungsvolumenstrom ganz zu schließen. Damit lässt sich effizient regeln. Effizient deshalb, weil bspw. bei Sonnenschein durchs Fenster ein solarer Wärmegewinn das Ventil schließen kann, sobald die Wunschtemperatur überschritten wird.

Das Gesamtkunstwerk Heizungsanlage beinhaltet also als finale Krönung den Einsatz der korrekt dimensionierten und eingestellten Thermostatventile. Aus der korrekten Auswahl ergibt sich eine angemessene Proportionalabweichung. ■

Dieser Artikel erschien zuerst im SBZ Monteur, Ausgabe 12/2023. Autor ist Dipl.-Ing. (FH) Elmar Held.

Lesen Sie auch:
Was gehört zur Heizungswartung? Tipps vom Sachverständigen
Gewindeverbindungen richtig abdichten und typische Schäden vermeiden
Wie eine Temperaturspreizung funktioniert
Erklär mal: Zeta-Wert
Wie funktioniert eigentlich eine Rohrnetzberechnung?

WERBUNG