Springe auf Hauptinhalt Springe auf Hauptmenü Springe auf SiteSearch
WERBUNG
WERBUNG
WERBUNG

Die Größe muss stimmen

Letze Woche haben wir über die überschlägige Berechnungsvariante berichtet. Nachdem wir einige Zuschriften, mit der Bitte erhalten haben es genauer zu machen haben wir nun für euch es ganz genau gemacht:-). Viel Spass beim Lesen und anschließenden genauen berechen eines ADG's!

Auslegung von Ausdehnungsgefäßen

Wasser dehnt sich bei Erwärmung aus und reduziert sein Volumen bei Abkühlung. Da eine Heizungsanlage mit wechselnden Wassertemperaturen betrieben wird, hätte diese physikalische Tatsache zur Folge, dass sich auch der Wasserdruck in einem geschlossenen Heizungssystem ständig ändert. Und genau das stünde einem störungsfreien Betrieb sehr im Wege.

Ohne MAG geht es nicht

Beim Aufheizen würde Heizungswasser über das Sicherheitsventil abfließen. Kühlt sich das Wasser wieder ab, „zieht“ es sich zusammen. Die Folge wäre ein Unterdruck, durch den über Stopfbuchsen und lösbare Verbindungen Luft in die Heizungsleitungen gesaugt würde. Und Luft in der Heizung ist ja bekanntlich schlecht. Es käme zu Gluckergeräuschen, Heizkörper würden nicht mehr warm und das Korrosionsrisiko wäre um ein Vielfaches größer. Letzteres nicht zuletzt deshalb, weil der Wasserverlust bei jedem Aufheizen ein Nachfüllen von sauerstoffhaltigem Trinkwasser erforderlich machen würde. Um diese Probleme gar nicht erst aufkommen zu lassen, wird in einem geschlossenen Warmwasser-Heizungssystem entsprechend der DIN EN 12828 [1] ein Mem­bran-Ausdehnungsgefäß (MAG) eingebaut. Ein MAG ist ein Behälter, der durch eine Membrane in zwei Bereiche, den Wasser- und den Gasraum, aufgeteilt ist. Der Gasraum ist mit einem Inertgas (z. B. Stickstoff) werkseitig mit 0,5  bar, 1,0  bar oder 1,5  bar Vordruck gefüllt. Vor Ort muss der Vordruck überprüft und wenn erforderlich auf den entsprechenden Wert einreguliert werden. Dieser Vordruck soll verhindern, dass bereits beim Füllen der

Heizungsanlage mehr als das für die Wasservorlage erforderliche Wasser in das Ausdehnungsgefäß eindringt und dadurch Ausdehnungsvolumen verloren geht.

Stickstoff federt’s aus

Das sich bei Aufheizung ausdehnende Heizungswasser nutzt das Ausdehnungsvolumen, indem es das Stickstoffpolster des Gasraums im MAG proportional zum steigenden Anlagendruck zusammendrückt. Da das Gaspolster wie eine mechanische Feder wirkt, kann es Druckschwankungen ausgleichen. Kühlt sich das Heizwasser wieder ab, verringert sich sein Volumen. Das Gaspolster im MAG dehnt sich nun wieder aus und befördert das Wasser zurück in das Heizungssystem. So wird das Wasservolumen ausgeglichen und der Druck im System bleibt konstant.

Ausgelegt nach DIN

Zur Feststellung des erforderlichen Nennvolumens eines Membran-Ausdehnungsgefäßes müssen nach DIN 4807-2 [2]

  • der gesamte Wasserinhalt der Anlage
  • das Ausdehnungsvolumen des Heizwassers bei maximaler Vor­lauftemperatur
  • die erforderliche Wasservorlage
  • der erforderliche Vordruck
  • der Enddruck

ermittelt werden.

Wasserinhalt

Den gesamten Wasserinhalt VA der Anlage erhält man aus den Inhalten der Rohrleitungen (diese können mit Hilfe eines Tabellenbuches ermittelt werden) und den Wasserinhalten des Wärmeerzeugers sowie der Heizkörper (Datenblätter der Hersteller geben hierüber Auskunft).

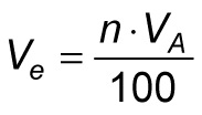
Ausdehnungsvolumen

Das Ausdehnungsvolumen [Ve] des Heizwassers errechnet sich nach DIN 4807-2 aus der folgenden Formel: Anhaltswerte für die prozentuale Wasserausdehnung [n] können der Tabelle entnommen werden

Wasservorlage

Um (geringe) Wasserverluste der Heizungsanlage auszugleichen, enthalten Membran-Ausdehnungsgefäße eine Wasservorlage VV. Laut DIN  4807-2 müssen MAGs bis 15 Liter Nennvolumen mindestens 20 Prozent ihres Volumens als Wasservorlage aufnehmen. Ausdehnungsgefäße müssen mindestens 0,5 Prozent des gesamten Wasser­inhaltes der Anlage (VA), mindestens jedoch drei Liter als Wasservorlage aufnehmen.

Vordruck

Ein Membran-Ausdehnungsgefäß muss einen bestimmten Vordruck [po] haben. Dieser muss der statischen Höhe der Heizungsanlage (vertikaler Abstand zwischen Mitte MAG und höchstem Punkt der Anlage zuzüglich einem

Sicherheitszuschlag von ein bis zwei Metern) bzw. dem da­raus resultierenden statischen Druck pst das Gleichgewicht halten. Gegebenenfalls ist zusätzlich der Dampfdruck pd zu berücksichtigen:Dabei lässt sich der statische Druck pst in der Regel mit ausreichender Genauigkeit aus der statischen Höhe bestimmen, wenn pro Höhenmeter 0,1  bar Druckzunahme zu Grunde gelegt wird.

Enddruck

Der Enddruck [pe] stellt sich im MAG nach dem Einbringen der Wasservorlage VV und dem Aufheizen der Anlage auf die maximal zulässige Vorlauftemperatur ein. Er darf nicht höher sein als der am Sicherheitsventil eingestellte maximale Anlagendruck. Üblicherweise wird ein Enddruck gewählt, der 0,5 bar da­runter liegt.

Nennvolumen des MAG
Das mindestens erforderliche Nennvolumen Vn,min errechnet sich dann nach DIN 4807-2 mit dieser Formel:

Wenn das mindestens erforderliche Nennvolumen ermittelt ist, kann ein passendes Membranausdehnungsgefäß aus den Unterlagen des MAG-Herstellers herausgesucht werden. Ist ein genau passendes nicht im Angebot, wird das nächstgrößere MAG gewählt. Auf diese Weise ist sichergestellt, dass das Heizungswasser ausreichend Platz hat, sich auszudehnen. Wenn die Größe des MAG zur Heizungsanlage passt, bleibt der Anlagendruck weitgehend konstant, die Heizung läuft störungsfrei und Kunde und Anlagenmechaniker sind zufrieden.

Literaturnachweis:[1] DIN EN 12828: Heizungssysteme in Gebäuden – Planung von Warmwasser-Heizungsanlagen[2] DIN 4807-2: Ausdehnungsgefäße; Offene und geschlossene Ausdehnungsgefäße für wärmetechnische Anlagen; Auslegung, Anforderungen und Prüfung

WERBUNG