Springe auf Hauptinhalt Springe auf Hauptmenü Springe auf SiteSearch
WERBUNG
WERBUNG
WERBUNG

Zeta-Werte in der Trinkwasserinstallation

Bei einem Zeta-Wert handelt es sich um eine dimensionslose Angabe über den zu erwartenden Druckverlust eines Formteils oder allgemein eines Strömungswiderstandes in einem Rohrnetz.

Diese Formteile können beispielsweise Winkel oder Bogen, T-Stücke oder Wandscheiben sein. Aber auch Ventile, Rückflussverhinderer oder ein Heizkörper können ihren Druckverlust verschlüsselt in einem Zeta-Wert verraten. Ein Zeta-Wert wird auch als Widerstandsbeiwert bezeichnet.

Druckverlust als Resultat

Es macht natürlich wenig Sinn einen Wert nur zu kennen. Wichtig ist, was damit beeinflusst werden kann und soll. In der Bauphase eines Hauses hat der zuständige Anlagenmechaniker den berühmten Bogen und den berühmten Winkel zur Auswahl in der Hand. Der Meister empfiehlt ihm den Einbau des Bogens, wenn es darum geht geringe Druckverluste zu erzeugen. Der Bogen hat dabei also einen kleineren Zeta-Wert als der Winkel. Die Richtungsänderung beim Bogen verläuft eben nicht so abrupt, sondern leitet den Richtungswechsel gemächlicher ein als bei einem Winkel. Aber warum sollten überhaupt nur geringe Druckverluste hervorgerufen werden? Diese Frage sollte doch gestattet sein.

Zeta-Werte in Heizungen

Dazu bezieht sich die folgende Ausführung auf eine Heizungs- beziehungsweise auf eine Trinkwasserinstallation. In der Heizungsanlage bedeutet ein geringer Druckverlust eines Bauteils, dass die Umwälzpumpe weniger Differenzdruck aufbauen muss. Dieses Quäntchen weniger an Druck spart elektrische Energie. Und das nicht nur an zwei Stunden eines Tages, sondern an gut 6000 Stunden pro Jahr und für meistens länger als 30 Jahre. Das wäre schon Grund genug, nicht alles dem Zeta-Zufall zu überlassen.

Zeta-Werte in Trinkwasserinstallationen

Gravierender wird die Untersuchung von Zeta-Werten, betrachtet man eine Trinkwasserinstallation. Der Trend zu immer schlankeren Rohrnetzen ist seit Jahren zu beobachten und hat sich in der DIN 1988-300 nochmals deutlich gezeigt. Grund dafür ist die hohe Anforderung an die Hygiene. Dabei wurde, was die realen Zeta-Werte der Fittings angeht, bei den Berechnungen zuvor eher geschludert. Es geisterten vor der letzten 1988-300 immer noch Schätzwerte aus den 1980er Jahren durch die Bücher und Computerprogramme, stumpf nach dem Motto: Nichts Genaues weiß man nicht!

Dabei ist folgende Regel recht einfach nachvollziehbar. Was nicht als Druckverlust in Formteilen „aufgebraucht“ wird, kann getrost in noch schlankeren Rohrdimensionen verbraten werden. Umgekehrt bedeutet es aber auch: Was bereits in Formteilen durch einen hohen Zeta-Wert verbraucht worden ist, kann nur durch dickere Rohrleitungen wieder wettgemacht werden. Sehr schlanke und damit hygienische Rohrnetze lassen sich also nur mit Kenntnis von realen Zeta-Werten sicher auslegen. Ansonsten droht entweder eine Unterversorgung beispielsweise während des Duschens bei gleichzeitigem Zapfen am Waschtisch oder eine Überdimensionierung mit zu geringen Fließgeschwindigkeiten; das wäre dann der Hygiene abträglich. Also, Anforderungen an Wirtschaftlichkeit, Komfort und Hygiene können mit Kenntnis und unter Einbeziehung von Zeta-Werten deutlich besser berücksichtigt werden.

Einfach dimensionslos?

Der Zeta-Wert selbst ist, wie schon beschrieben, eine dimensionslose Größe. Dabei ist es doch so schön, zwischen all den SI-gerechten Einheiten hin und her rechnen zu können. Aber man wird im Verlaufe des Berichts noch erkennen, dass es abschließend wiederum geordnet zugeht. Um den Zeta-Wert eines Bogens zu ermitteln, könnte man diesen mit einer vorgegebenen Geschwindigkeit von beispielsweise zwei Metern pro Sekunde durchströmen lassen. In Fließrichtung vor dem Bogen ist der Druck um einige Pascal höher als hinter dem Bogen, soviel ahnt man schon. Denn eins ist klar, so ohne Weiteres lässt sich der Wasserstrahl nicht um die Ecke bewegen. Da entsteht Reibung, da bilden sich Wirbel, da lösen sich Wasserteilchen von den Rohrwandungen und andere pressen sich wieder an. Es passiert also was an solch einer Biegung. Zwei Druckmanometer, eines vor, das andere hinter dem Bogen, werden den Faktor des Druckes fein anzeigen. Das strömende Medium soll schlichtes Wasser sein. Im Versuchsaufbau des Gedankenmodells soll die Dichte des Wassers genau 1000 Kilogramm pro Kubikmeter betragen. Die Fleißgeschwindigkeit beträgt 2,0 m/s. Nehmen wir weiterhin an, dass das Manometer vor dem Bogen einen Druck von 100.000 Pascal zeigt und jenes in Fließrichtung hinter dem Bogen zeigt nur noch 96000 Pascal. Die Druckdifferenz würde also 4000 Pascal betragen, alleine hervorgerufen durch diesen Bogen.

Dann würde gelten:

- Die Druckdifferenz ist „Δp“ (sprich Delta p) und beträgt
4000 Pascal (Pa)

- Die Geschwindigkeit ist „v“ (also klein Vau) und beträgt zwei Meter pro Sekunde (m/s)

- Die Dichte des Wassers ist „ρ“ (sprich Roh) und beträgt 1000 Kilogramm pro Kubikmeter (kg/m³)

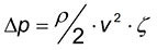
Und um nun den Wert Zeta (ζ)zu bestimmen gilt die Formel:

Das Einsetzen der Werte ergibt dann:

Zwischenergebnis:

weiteres Zwischenergebnis:

und das Ergebnis ist:

Wer möchte, kann auch die Tatsache überprüfen, dass der Zeta-Wert letztlich einheitenlos ist. Der Zeta-Wert des überprüften Bogens beträgt also „2“, in Worten zwei.

Fittings sind auch immer Widerstände in fließendem Wasser. Ausgedrückt wird der Widerstand durch den dimensionslosen Zeta-Wert.

Bild: Taweesak Ngamamornpi - stock.adobe.com

Fittings sind auch immer Widerstände in fließendem Wasser. Ausgedrückt wird der Widerstand durch den dimensionslosen Zeta-Wert.

Realer Einsatz

Dieser Bogen kann nun verpackt werden und geht in Serie auf den SHK-Markt. Klar ist, dass dieser Bogen nicht ins Regal kommt für Krümmungen die mit zwei Metern pro Sekunde durchströmt werden und dabei 4000 Pascal Druckverlust hervorrufen. Jede halbwegs vernünftige Geschwindigkeit in einem Rohrnetz kommt für diesen Bogen in Frage. Wie groß ist aber der Druckabfall im Bogen, wenn dieser schneller oder langsamer durchströmt wird? Dazu wird die gleiche Formel kurzerhand umgestellt und ergibt dann eine Prognose für den Druckverlust bei anderen Strömungsgeschwindigkeiten. Die Formel lautet dann:

Das eben überprüfte Fitting wird nun mit doppelter Geschwindigkeit als im Test und ebenfalls mit Wasser durchströmt. Es soll vorausgesagt werden welcher Druckverlust dadurch entsteht.

Gegeben:

Das auffällige Resultat zeigt, dass bei einer Verdoppelung der Geschwindigkeit, der Druckverlust sich vervierfacht. Klar, werden die Mathematiker unter den Lesern sagen, die Geschwindigkeit geht quadratisch in die Berechnung ein und Verdoppelung bedeutet mal zwei und zwei zum Quadrat ist vier. Umgekehrt kann man natürlich ebenso verfahren; wen wundert es? Eine Halbierung der Geschwindigkeit führt zu einer Viertelung des Druckverlustes.

Gegeben:

Zusammenfassend kann festgehalten werden, dass der Druckverlust eines Formteils durch den dimensionslosen Zeta-Wert beschrieben werden kann. Abhängig von der Geschwindigkeit und der Dichte des durchströmenden Mediums ist der reale Druckverlust rechnerisch ermittelbar

Fittings in unterschiedlichen Formen und Dimensionen unterscheiden sich auch im Zeta-Wert

Bild: IBH

Fittings in unterschiedlichen Formen und Dimensionen unterscheiden sich auch im Zeta-Wert

Folgen für die Praxis

Die Hersteller von Rohrsystemen für den SHK-Markt benennen nicht nur die Druckverluste der ausgelieferten Rohre, sondern zusätzlich die Zeta-Werte der entsprechenden Formteile genau. Dies wird die Planung von Anlagen der technischen Gebäudeausrüstung konkreter und hoffentlich realistischer erscheinen lassen. Für den Praktiker auf der Baustelle bedeutet die Kenntnis über die Zusammenhänge, dass man sogar durch das eigene Geschick bei der Verlegung von Rohrleitungen langfristig Energie sparen beziehungsweise den Komfort erhöhen kann. Nicht immer ist ein Fitting das Maß aller Dinge. Eine 45- oder 90-Grad Biegung kann häufig auch gut durch eine handwerklich gefertigte Biegung erzeugt werden. Diese ist dann meistens strömungsgünstiger und schafft so Druckreserven, die bei dem höheren Zeta-Wert des fertigen Fittings so nicht zum Tragen kämen. Für die Planung, insbesondere von hygienischen Trinkwasserinstallationen, bedeutet die Berücksichtigung von Zeta-Werten eine differenzierte Berechnung. Differenziert meint in diesem Zusammenhang, dass die Druckverluste durch Formteile nicht mehr pauschal eingehen, sondern einzeln und für jedes Formteil gesondert berechnet werden. Wohlgemerkt gilt dies für Trinkwasserinstallationen.

Es ist mittlerweile auch interessant zu sehen, wie die Rohrhersteller die eigenen Fittings werbetechnisch anpreisen. Kleine Zeta-Werte bedeuten ja tatsächlich, dass ein Rohrnetz kleiner und damit kostengünstiger ausfallen kann.

Auch wenn es auf den ersten Blick aussieht, wie Erbsenzählerei ist der Einfluss der Einzelwiderstände natürlich vorhanden. Insbesondere wird jede ernstzunehmende Trinkwasserberechnung ohnehin nur noch am Computer durchgeführt und da bedeutet dann die Berücksichtigung von Zeta-Werten nun wirklich keinen Mehraufwand.

Verstehen sollte man die Hintergründe, so wie Sie jetzt, rechnen wird der Computer.

Es hinterläßt einen cleveren Eindruck, wenn man das Zeta-Zeichen aus dem griechischen Alphabet nachzeichnen kann

Bild: infografx - stock.adobe.com

Es hinterläßt einen cleveren Eindruck, wenn man das Zeta-Zeichen aus dem griechischen Alphabet nachzeichnen kann
WERBUNG

Tags