Springe auf Hauptinhalt Springe auf Hauptmenü Springe auf SiteSearch
WERBUNG
WERBUNG
WERBUNG

Was treibt dich um?

Bewegung im Trinkwasserrohrnetz

Damit sich etwas bewegt benötigt man bekanntlich Energie. Bei einer Trinkwasserinstallation steckt diese Energie in Form von Druck im System.

Wasseraustritt aus einem Schlauch: Unspektakulär, aber nur auf den ersten 
Blick…
(Bild: thinkstock)
Wasseraustritt aus einem Schlauch: Unspektakulär, aber nur auf den ersten Blick… (Bild: thinkstock)

Dies erkennt man beispielsweise beim Ablassen des Wassers aus einem Trinkwassererwärmer, umgangssprachlich auch Boiler genannt. Gehen wir davon aus, dass an einer Entleerung ein Schlauch angeschlossen wurde und dieser das Wasser zum nächsten Bodenablauf befördert. Anfangs, also bei vollem Druck, schießt es raus aus dem Schlauch. Zum Ende tröpfelt es nur noch. Diese Erfahrung beschreibt bereits, den Zusammenhang zwischen Druck und Fließgeschwindigkeit um den es in diesem Bericht geht.

Weitere Erfahrungswerte

Wird der Entleerungshahn am Boiler nur minimal geöffnet, tritt weit weniger Wasser pro Zeiteinheit aus als bei voller Öffnung. Die Strömung hängt also auch mit dem Widerstand zusammen den man dem Druck entgegensetzt. Eine kleine Öffnung stellt einen großen Widerstand dar und mit zunehmendem Öffnungsquerschnitt nimmt dieser Widerstand ab. Das Füllen eines Wassereimers klappt ja auch erfahrungsgemäß am schnellsten, bei einem voll geöffneten Ventil. Beobachtungen dieser Art führten die Physiker zur Entwicklung von Formeln über das Fließen von Fluiden, also Gasen und Flüssigkeiten. Daniel Bernoulli brachte es im 17. Jahrhundert auf den Punkt. Eine wichtige Formel der Strömungstechnik ergab sich schließlich aus diesen Betrachtungen und wird Bernoulli-Gleichung genannt.

Ob eine Straße als Buckelpiste empfunden wird liegt auch an der 
Reifengröße.
Ob eine Straße als Buckelpiste empfunden wird liegt auch an der Reifengröße.

Zusammenhänge

In der Strömungstechnik gilt, dass sich eine Druckdifferenz in einer Rohrleitung durch folgenden Zusammenhang ergibt:

dabei bedeutet

∆p = Druckdifferenz

∑ = mathematisches Zeichen "Summe aus"

L = Länge des Rohres

Z = Druckverl. in Einzelwiderständen

Im folgenden Text soll Wasser durch ein Rohr fließen. Die Ausführungen sind dann übertragbar auf andere Fluide wie Gase.

-L- Die Länge macht`s

Klar ist, dass das Wasser sich an den Rohrwandungen reibt. Die Moleküle stoßen an die raue Oberfläche und stolpern in die Vertiefungen und werden im nächsten Moment wieder von anderen Molekülen mitgerissen. Sichtbar wäre die beschriebene Rauigkeit mit dem bloßen Auge sicherlich nicht so einfach. Aber so ein H2O-Molekül ist eben winzig klein und rumpelt über diese Vertiefungen. Und je weiter der Weg über diese Buckelpiste verläuft, also je länger die durchströmte Rohrstrecke ist, desto nachhaltiger werden die Moleküle behindert. Die Länge des Rohres vergrößert also die Druckdifferenz.

-R- Rohrreibungsdruckgefälle

Das soeben beschriebene Rumpeln der Moleküle durch das Rohr findet auf einer für das bloße Auge als glatt wahrgenommenen Oberfläche statt. Die fast spiegelblanke Innenoberfläche eines Rohres aus Polyethylen oder Kupfer lässt kaum erwarten, dass es sich nicht um eine Autobahn der besten Güteklasse handelt. Aber es liegt eben an den Größenrelationen wann etwas als rau betrachtet wird. Ein Muldenkipper mit seinen riesigen Rädern wird ein fünfzig Zentimeter tiefes Schlagloch kaum registrieren, während es einem durchfahrenden PKW die Achse weg donnert. Und ein winziges Wassermolekül verschwindet schon mal in den tiefen Tälern einer Rohrinnenoberfläche. Die Hersteller von Rohren sorgen natürlich einerseits für eine glatte Innenoberfläche soweit dies fertigungstechnisch sinnvoll und möglich erscheint. Und es werden entsprechende Tests durchgeführt, in denen das Strömen von Fluids erprobt wird. Dabei ergeben sich dann charakteristische Werte für die Rauigkeit eines Rohres. Diese Rauigkeit lässt sich dann rechnerisch auf einen Druckverlust pro laufenden Meter umrechnen. Es gibt aber nicht einen Wert für ein bestimmtes Rohr sondern im Prinzip unendlich viele. Denn der Druckverlust hängt von dem jeweiligen Volumenstrom im Rohr ab. Je mehr Wassermoleküle durch das Rohr geprügelt werden, umso derber werden diese an die Wandungen gedrückt und reiben sich entsprechend heftig. Daher werden in Tabellen oder Diagrammen die Werte einem jeweiligen Volumenstrom zugeordnet. Der kleine Auszug einer solchen Tabelle zeigt ein Ablesebeispiel.

Ablesebeispiel aus einer Druckverlusttabelle für Kupferrohr
Ablesebeispiel aus einer Druckverlusttabelle für Kupferrohr

 -Z- Einzelwiderstände

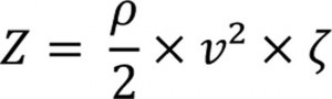
Werden die Wasserteilchen zu einer plötzlichen Richtungsänderung gezwungen, so kostet dies Energie. Eine einmal angestoßene Billardkugel ändert ja auch nicht ohne äußeren Einfluss die Richtung. Neben der einfachen Reibung verursachen Richtungsänderungen also nochmals einen Druckverlust. Wird diese Änderung von einem sehr langsamen Wasserteilchen vollzogen, so schmiegt es sich vielleicht noch an die äußere Wandung des Bogens. Soll dieser Bogen aber mit einer hohen Geschwindigkeit durchlaufen werden, kommt es gewissermaßen zu Überschlägen und anderen Kapriolen. Die Geschwindigkeit, mit der das Wasser also eine Richtungsänderung vollzieht spielt eine große Rolle. Auch ist entscheidend, wie strömungsgünstig beispielweise ein Bogen geformt ist. Lang gestreckt läuft besser als eine enge Kehre. Und so hat man den Bauteilen die üblicherweise in einem Rohrverlauf auftauchen den Wert eines Einzelwiderstandes zugeordnet, den so genannten Zeta-Wert. Der Druckverlust eines Einzelwiderstandes ergibt sich dann aus:

ρ = die Dichte des Fluids (griech. Buchst., gesprochen: Rho)

v = die Geschwindigkeit des Fluids

ζ =der Widerstandsbeiwert (griech. Buchst., gesprochen: Zeta)

Versuch macht klug

Eine Kupferrohr DN 20 soll auf einer Länge von 10 Meter einen Volumenstrom von 0,5 Liter pro Sekunde transportieren. Auf dieser Strecke ist ein Bogen DN 20 montiert, mit einem Widerstandsbeiwert von 0,7. Wie hoch ist der Druckverlust der beschriebenen Leitung?

Bereits bekannte Werte sind:

L = 10 m

ρ für Wasser = 1000 kg/m³

ζ für einen Bogen = 0,7

Und aus der zugehörigen Tabelle für Kupferrohr kann man ablesen:

R = 15,7 mbar (1570 Pa/m) bei einer Geschwindigkeit „v“ von 1,6 m/s.

Die Nachbarwerte in der dargestellten Druckverlusttabelle zeigen: Das nächst kleinere Rohr, also DN 15, hätte einen deutlich höheren Druckverlust (45,7 mbar) hervorgerufen und DN 25 einen entsprechend geringeren (5,4 mbar).

In die Formel für Einzelwiderstände eingesetzt ergibt sich dann für einen Bogen:

Die Summe der Druckverluste beträgt dann

Diese Rohrstrecke mit Bogen stellt also einen Widerstand von 16596 Pa oder rund 166 mbar dar.

Wie viel Wasser da in der Ringleitung bewegt wird kann mittels 
Bernoulli-Gleichung berechnet werden
(Bild: Kemper)
Wie viel Wasser da in der Ringleitung bewegt wird kann mittels Bernoulli-Gleichung berechnet werden (Bild: Kemper)

Weitere Schlauheiten?

Anfangs wurde bereits erwähnt, dass diese Formel für Fluide allgemein gilt. Und klar ist natürlich, dass man eine dickflüssige Pampe schwieriger durch ein Rohr bewegen kann als das dünnflüssige Wasser aus dem Beispiel. Auch ein Gas gehorcht der Bernoulli-Gleichung. Der Berechnung liegen dann aber angepasste Druckverlusttabellen zugrunde. Ein weiterer Schluss der aus den vorgenannten Ausführungen gezogen werden kann gilt sicherlich noch für die Bewegungen in einem Trinkwasserrohrnetz die durch vorgegebene Druckdifferenzen hervorgerufen werden. Beispielsweise ein Strömungsteiler, wie die Sanitär-Industrie ihn anbietet, sorgt ja bei einer Durchströmung für eine Druckdifferenz. Diese soll genutzt werden, um eine hygienische Durchspülung einer Rohrleitung zu ermöglichen. Eine Ringleitung mit entsprechenden Bögen und anderen Widerständen wird dabei durchflossen. Die mögliche Strömungsgeschwindigkeit lässt sich dann ebenfalls mittels Bernoulli-Gleichung errechnen. Ein wichtiges Hilfsmittel auf dem Weg zu noch hygienischeren Trinkwassersystemen. Im schnelllebigen Alltag greift man natürlich auf entsprechende Software zurück. Aber die Grundkenntnisse um diese Zusammenhänge sind sehr hilfreich beim Treffen von Entscheidungen im Dienste des Kunden und für die Trinkwasserhygiene.

WERBUNG