Springe auf Hauptinhalt Springe auf Hauptmenü Springe auf SiteSearch
WERBUNG
WERBUNG
WERBUNG
Dämmung

Wie die Hütte warm bleibt

Wir befinden uns mitten in der heißen Phase der Heizphase. Und wie jedes Jahr wird zum Energiesparen aufgerufen, damit die Heizkostenabrechnung nicht tiefe Löcher ins Portemonnaie brennt. In diesem Zusammenhang lohnt sich ein Blick auf die Dämmung: Welches Material sorgt im eigenen Haus eigentlich dafür, dass die Wärme drinnen bleibt? Und welche Alternativen gibt es überhaupt? Zeit für einen kleinen Überblick, denn die Welt der Dämmstoffe zeigt sich vielseitig.

Synthetische Dämmstoffe

Eine Kategorie der Dämmmaterialien bilden Kunststoffe wie etwa Polyurethan und Polystyrol, die auf Erdöl basieren. Sie sind günstig in der Anschaffung, robust und feuchtigkeits- sowie verrottungsresistent. Zu den bekannten Vertretern dieser Gruppe gehören EPS, XPS und PU; weiterhinzählen Aerogelmatten, Vakuum- und Phenolharzplatten zu den synthetischen Dämmstoffen.

Mineralische Dämmstoffe

Anorganische Materialien wie Sand, Stein, Vulkangestein, Altglas und Kalk sind die Ausgangsstoffe, aus denen mineralische Dämmmaterialien wie Glas- und Steinwolle, Schaumglas, Perlite, SLS 20, Calciumsilikat und Mineraldämmung hergestellt werden. Zu ihren Pluspunkten zählen unter anderem ihre hohen Dämmwerte, ihre guten Brandschutzeigenschaften und ihr positiver Einfluss auf das Raumklima.

Naturnahe Dämmstoffe

Auf die Natur war schon immer Verlass und auch in Sachen Dämmung muss niemand auf nachhaltige, ökologisch verträgliche Materialien verzichten. Die Stichworte lauten hier Holzfaser und Holzwolle, Flachs, Zellulose, Hanf, Kork und Neptunballfaser. Ihre Dämmeigenschaften sind von Natur aus bereits gut, durch technische Verfahren werden sie abermals verbessert – Energieeffizienz mit bestem, grünem Gewissen.

Was daraus entsteht

Der U-Wert - oder lang gesprochen der Wärmedurchlasskoeffizient - in der Einheit W/(m²K) ist für Architekten, Bauherren, Anlagenmechaniker und viele andere am Bau oder Umbau eines Hauses beteiligte Menschen ein interessante Größe. Gibt doch dieser Wert Aufschluss über eine Leistung in Watt (W) bezogen auf einen Quadratmeter (m²) sowie bezogen auf eine Temperaturdifferenz in Kelvin (K) von einem Grad. Der U-Wert gibt also schlichte Auskunft darüber, welche Leistung, z. B. an einer Außenwand, je Quadratmeter abgegeben wird, wenn innen eine Temperatur von 20 °C und außen eine Temperatur von - 10 °C herrschen.

Ab durch die Wand

Wird einer Wand beispielsweise ein U-Wert von 1 W/(m²K) zugeordnet, geht durch einen Quadratmeter Fläche ein Watt Energie hindurch, wenn die Temperaturdifferenz der Wandoberflächen ein Kelvin beträgt. Beträgt die Wandfläche aber nicht einen, sondern z. B. fünf Quadratmeter, ist es nicht schwer, den Energiedurchgang für diese Wandfläche festzulegen. Und in Anlehnung an diese Aussage kann man statt einer Temperaturdifferenz von nur einem Kelvin (20 °C auf 19 °C) auch eine Aussage treffen, welche Leistung denn wohl bei 30 Kelvin Differenz abgegeben wird, z. B. bei einer Zimmertemperatur von 20 °C und einer Außentemperatur von -10 °C.

Beispiel:

  • 1W/(m²K) · 5 m² · 30 K = 150 W
  • An dieser Wand würden also 150 Watt Leistung abgegeben. Aber wen stört es? Zuerst einmal wird sich kaum einer beim Eintritt in ein Gebäude nach dessen U-Werten erkundigen. Spätestens aber im Winter ist der Hausbesitzer froh, wenn sein Häuschen nicht den eben berechneten U-Wert von 1 W/(m²K) für die Außenwand besitzt. Er freut sich, wenn stattdessen ein U-Wert von beispielsweise 0,5 W/(m²K) sein Haus gegen Auskühlung schützt. Verglichen mit dem ersten Berechnungsbeispiel macht ein um 0,5 W/(m²K) geringerer U-Wert schon ordentlich was aus.

    Gegenprobe:

  • 0,5 W/(m²K) · 5 m² · 30 K = 75 W
  • Auf Basis von Erdöl sind die synthetischen Dämmstoffe aufgebaut

    Bild: www.sanier.de

    Auf Basis von Erdöl sind die synthetischen Dämmstoffe aufgebaut

    An diesen Außenwänden würde nur noch die Hälfte an Wärme verloren gehen. Der Hausbesitzer oder jener, der ein Häuschen errichtet oder kauft, ist an guten (folglich kleinen) U-Werten interessiert. Der Anlagenmechaniker stimmt die Heizungsanlage auf diese U-Werte ab. Vermeintlich schlechte U-Werte führen beispielsweise zu der Auslegung von relativ großen Heizkörpern oder Flächenheizungen. Topp-U-Werte eines Niedrigenergiehauses machen nur relativ kleine Heizflächen nötig oder niedrige Vorlauftemperaturen.

    Anorganisches Material kann zu mineralischen Dämmstoffen verarbeitet werden

    Bild: www.sanier.de

    Anorganisches Material kann zu mineralischen Dämmstoffen verarbeitet werden
    Auch auf pflanzlicher Basis können Dämmstoffe entstehen

    Bild: www.sanier.de

    Auch auf pflanzlicher Basis können Dämmstoffe entstehen

    Wie einordnen?

    Ein Dämmstoff wird eingesetzt, um der Wärmeabgabe einen Widerstand entgegenzusetzen. Diesen Widerstand bezeichnet man als Wärmedurchlasswiderstand mit dem Kürzel RT.

    Für diesen Wert gilt folgende Gleichung:

    Umgangssprachlich könnte man sagen: Addiere alle Einzelwiderstände zu einem Gesamtwiderstand (RT) auf. Die Einzelwiderstände setzen sich zusammen aus dem ersten (Rsi) und letzten (Rse) vom gleichen Typ, sowie die „Schichtwiderstände“ 1 (R1) bis zur letzten (n-ten) Schicht (Rn). Die als Übergangswiderstände bezeichneten Rsi und Rse ergeben sich aus Tabellen.

    Für Rsi, also den inneren Übergangswiderstand, sind nur drei Werte relevant. Je nach Wärmestrom ergeben diese sich wie folgt:

  • Für den Wärmestrom aufwärts gilt: Rsi = 0,10 m²K/W (beispielsweise an einer Decke)
  • Für den Wärmestrom horizontal gilt: Rsi = 0,13 m²K/W (beispielsweise an einer Außenwand)
  • Für den Wärmestrom abwärts gilt: Rsi = 0,17 m²K/W (beispielsweise an einem Fußboden)
  • Für Rse also den externen (äußeren) Übergangswiderstand gilt:

  • Rse = 0,04 m²K/W
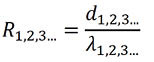
  • Es fehlen als letzte Größen also nur noch R1 bis Rn. Hierfür sieht es formeltechnisch so aus:

    Das heißt: Dicke der betrachteten Schicht geteilt durch den Lambda-Wert dieser Schicht ergibt den Widerstand der jeweiligen Schicht. Der Lambda-Wert (λ-Wert) gibt Aufschluss über die Wärmeleitfähigkeit eines Stoffes. Die genannten Dämmungen haben einen Wert der meistens kleiner 0,05 W/(mK).

    Die klassische Außenwand

    Um das Gefühl für einen konkreten Wert zu bekommen sei eine klassische Außenwand gegeben mit folgenden Schichten, aufgezählt von innen nach außen:

    Schicht 1:

    1,5 cm Innenputz mit λ-Wert von 0,87 W/(mK)

    Schicht 2:

    24 cm Kalksandstein mit λ-Wert von 0,56 W/(mK)

    Schicht 3:

    10 cm Wärmedämmung mit λ-Wert von 0,035 W/(mK)

    Schicht 4:

    1,0 cm Außenputz mit λ-Wert von 0,70 W/(mK)

    Die Werte werden gesammelt:

    Rsi = 0,13 m²K/W (horizontal innen)

    Rse = 0,04 m²K/W (extern, außen)

    Für Schicht 1 gilt:

    Für Schicht 2 gilt:

    Für Schicht 3 gilt:

    Für Schicht 4 gilt:

    Die Addition der Widerstände ergibt den Gesamtwiderstand.

    (die Einheit ist jeweils m²K/W)

    Der Widerstand Wärme abzugeben beträgt also 3,487 m²K/W.

    Der Kehrwert des Wärmedurchlasswiderstandes ergibt den U-Wert:

    An dieser, gedämmten Außenwand, würden bei einer angenommenen Fläche von 10 Quadratmetern und einer Temperaturdifferenz zwischen drinnen und draußen von 30 Kelvin

    0,287W/(m²K) · 10 m² · 30 K = 86 W

    rund 86 Watt abgegeben.

    Der Klassiker unter den Dämmungen, die Glaswolle

    Bild: Getty Images/iStockphoto

    Der Klassiker unter den Dämmungen, die Glaswolle

    Es ist schon durch bloßes Hinschauen relativ klar, dass Wärmedämmungen ein Gebäude gegen Auskühlung schützen. Schaut man sich die Formel zur Berechnung des U-Wertes an, wird schnell deutlich: Der größte Wärmedurchgangswiderstand – hier im Beispiel Schicht 3 mit 2,857 m²K/W – wird auch durch die Wärmedämmschicht erreicht. Alle Widerstände zusammen ergeben den Gesamtwiderstand und der Kehrwert ergibt den U-Wert.

    Infos im E-Book

    Das E-Book „Dämmstoffe im Überblick“ geht ausführlich auf die unterschiedlichen Materialien ein und steht zum kostenlosen Download unter www.sanier.de/daemmung/daemmstoffe/ebook-daemmstoffe bereit. Darüber hinaus finden Bauherren und Immobilienbesitzer auf dem Portal www.sanier.de viel Wissenswertes und zahlreiche Tipps rund um das energetische Sanieren und Modernisieren. Die Themenfelder erstrecken sich von Dämmung, Dach und Fenster bis hin zu Solar, Heizung und Energie.

    Die im Beispiel durchgerechnete Außenwand mit einem eingezeichneten Temperaturverlauf

    Bild: Held

    Die im Beispiel durchgerechnete Außenwand mit einem eingezeichneten Temperaturverlauf
    WERBUNG