Zur Beweisführung verzichte ich auf Statistik und die Auswertung von besonderen Wetterereignissen. Schon die bekannten Wetterphänomene reichen mir aus, um auf die notwendige, besondere Sorgfalt im Zusammenhang mit Sturmereignissen hinzuweisen. Gemeint ist, dass wir die Komponenten, die wir SHK-Profis auf Dächern von Häusern platzieren, sturmsicher befestigen müssen.
 
 Bild: Wolf
Beispiele
Auf Dächern werden beispielsweise Außeneinheiten von Wärmepumpen montiert. Insbesondere wenn Haus an Haus in einer Siedlung die Aufstellung im Garten problematisch erscheinen lässt, kann man aufs Dach ausweichen. Dort kann der entstehende Geräuschpegel erträglicher oder sogar unbemerkt bleiben.
Fast schon zwingend ist der Aufbau von Solaranlagen auf dem Dach. Nur selten „opfern“ private Nutzer ihre Gartenfläche, um Sonnenenergie ernten zu können. Und während sich auf einem Schrägdach die Kollektoren gewissermaßen an die Dachpfanne schmiegen, stehen diese auf einem Flachdach fast schon nackt im Wind.
In diesem Zusammenhang besteht offensichtlich Aufklärungsbedarf. Wie ich darauf komme?
In diesem Jahr hatte ich häufig Schäden zu bewerten, die auf Flachdächern in den genannten Konstellationen entstanden sind. Da wurde beispielsweise die mehr als 100 Kilogramm schwere Außeneinheit einer Wärmepumpe vom Sturm umgerissen. Und es häuften sich die Schäden auf Flachdächern im Zusammenhang mit dort aufgestellten thermischen Solaranlagen. Diese Art der Aufstellung werde ich in diesem Bericht mit einigen Hinweisen und Beispielen beschreiben
 
 Bild: Buderus
Vergleiche
Noch während des diesjährigen Sommerurlaubs hatten Sie vielleicht das Vergnügen, eine Luftmatratze ins Wasser zu tragen. Wenn Sie während des Transports von einer erfrischenden Windböe erwischt wurden, konnten Sie die Kraft spüren, mit der die Luftmatratze vom Wind geschoben wird. Die Matratze knickt dann für gewöhnlich ein und stellt damit weniger Angriffsfläche in den Wind und sofort sinkt für Sie in dem Moment spürbar die Windlast. Ein Regenschirm lehrt ähnliche Erfahrungen. Wenn dieser dann mal überspannt wird, ist er im Zweifel sogar kaputt, schleift Sie im Gegenzug aber auch nicht mehr über den Gehweg.
Nicht so unsere Kollektoren. Die bieten eine starre Fläche, der wir uns nun auch rechnerisch nähern.
Ein Beispiel
Auf einem Wohnhaus mit Flachdach wurde eine thermische Solaranlage errichtet. Es werden insgesamt 3 Kollektoren miteinander verbunden, jeder einzelne mit 2 Quadratmetern Fläche als Ergebnis aus 1 Meter Breite mal 2 Meter Höhe (1 m x 2 m = 2 m²) wie auf Skizze 1.
Die Kollektoren werden mit einer Neigung von 45 ° aufgestellt und wiegen jeweils 45 Kilogramm (kg) inklusive des Ständers aus Aluminium.
Beim Szenario mit den übelsten Annahmen würde der Wind von hinten in die Sackgasse der Flachkollektoren rauschen und dort auf Null abbremsen, wie in Skizze 2 dargestellt. Die wirksame Fläche wäre dann nicht mehr pro Kollektor 2 m², sondern 1,41 m². Die Erläuterung zur Berechnung der beiden Schenkel in diesem gleichseitigen Dreieck finden Sie auch im Anhang an diesen Bericht, soll aber nicht 
vertieft werden.
Rechnen wir also den Winddruck aus, der auf der windzugewandten Seite der Kollektoren laut Skizze 2 wirkt.
Der Wind wird aus voller Fahrt auf Null abgebremst und das ergibt, dass der dynamische Druck komplett in einen statischen Druck umgewandelt wird.
Der dynamische Druck ergibt sich aus:
 
 
 
Darin bedeutet
 
 
 
Für die dem Wind ausgesetzte Seite der Kollektoren müsste man nur noch eine Windgeschwindigkeit annehmen.
Auszulegen sind Anlagen dieser Art für eine maximale Windgeschwindigkeit von 151 km/h also rund 42 m/s
Eingesetzt ergeben diese Werte
 
 
  
 
 

Die Übersetzung in die Umgangssprache lautet:
Wenn der Wind mit einer Geschwindigkeit von 151 km/h an einer starren Wand auf 0 km/h abgebremst wird, so hat sich der dynamische Anteil gewandelt. Dieser wirkt dann als Druck von 1.058 Pa.
1.058 Pa kann man auch ausdrücken als 1.058 N/m².
Eine Masse 105 kg verteilt auf einer Fläche von einem Quadratmeter ist vergleichbar mit diesem Druck.
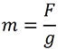
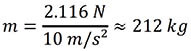
Zieht man jetzt die Schlüsse für die Kollektoren, so kann man festhalten:
Würde ein Kollektor mit 2 m² Fläche senkrecht stehend gegen Wind mit 151 km/h ausgerichtet, so würde dieser Kollektor vom Wind mit einer Kraft von 2.116 N gedrückt, denn
F= p x A
F = Kraft in Newton (N)
P = Druck in Pascal (Pa)
A = Fläche in Quadratmeter (m²)
Eingesetzt gilt dann
F = 2 m² x 1.058 N/m² = 2.116 N
Die Kraft des Windes würde wirken wie eine Masse von rund 212 kg.
 
 
 
m = Masse in Kilogramm (kg)
F = Kraft in Newton (N)
g = Erdbeschleunigung (m/s²)
Die Erdbeschleunigung „g“ entspricht ca. 9,81 m/s² also annähernd 10 m/s²
 
 
 
Der Kollektor wird aber nicht senkrecht aufgestellt, sondern geneigt auf 45 °. Dabei steht dann noch eine Fläche von rund 1,41 m² gegen den Wind. Der Druck beträgt pro Kollektor also 1.492 Pa und wirkt daher wie rund 149 kg Masse,
denn
1.41 m² x 1.058 N/m² = 1.492 N
 
 
 
Bisherige Erkenntnisse
Bei absoluter Windstille steht der Kollektor aufgrund seines Eigengewichts von 45 kg sicher und bleibt in Position. Nimmt die Windgeschwindigkeit kontinuierlich zu, so würde theoretisch bei einer Windgeschwindigkeit von 151 km/h ein Winddruck herrschen, der wie 149 kg Masse wirkt. Das Gestell mit Kollektor würde aber schon vorher, also bei geringerer Geschwindigkeit, umgerissen. Das unkontrollierte Kippen der Konstruktion würde stattfinden, sobald die resultierende Kraft hierzu überwiegt, in diesem Fall also die Gewichtskraft von 45 kg überschreitet.
 
 Bild: Bosch
Windkraft überbieten
Klar ist, dass man durch entsprechenden Ballast auf den Stützen die gesamte Konstruktion gegen das Umkippen sichern kann. Es bieten sich Wannenkonstruktionen an, um Kies darin aufzufüllen, so wie in Skizze 3 dargestellt. Ebenso sehe ich auch schon mal Betonplatten oder schwere Randsteine, die man auf den zumeist aus Aluminium gefertigten Ständern ablegt.
Dieser Ballast kann nach meiner Einschätzung nicht nach eigenem Erfahrungsschatz ausgewählt werden. Da richtet man sich immer nach den Vorgaben der Hersteller und nicht nach der Heldschen Methode im SBZ Monteur. Die soeben dargestellte Rechenmethode entspricht nämlich nicht dem normativen Vorgehen in Bezug auf die Bestimmung von Windlasten. Vielmehr sollte von mir nur dargestellt werden, wie sich aus Wind eine rechnerisch nachvollziehbare Kraft entwickeln kann, die eine Konstruktion bei entsprechender hoher Windgeschwindigkeit zum Kippen bringen kann.
Folgen eines Vorfalls
Am Ende eines Kollektorlebens zählt unter anderem, dass dieser auf dem Flachdach stehen geblieben ist. Wird die Konstruktion umgerissen, ist der Schaden meistens erheblich. Nach meiner Erfahrung war es meistens so, dass zumindest bei den umgerissenen Flachkollektoren nichts mehr zu retten war und diese also ersetzt werden mussten. Die Ständerwerke waren meistens ebenfalls zwingend zu erneuern, weil man die verbogenen Profile nicht mehr korrigieren konnte. Je nach Anzahl der Kollektoren steigt die Summe zur Behebung des Schadens sehr schnell auf über 10.000 €.
Personenschäden habe ich bisher glücklicherweise nicht zu beklagen gehabt. Falls jedoch Teile der Anlage vom Dach geblasen werden, sind derlei schlimme Ausgänge nicht auszuschließen.
Versicherungsschaden und gut is`?
Gerne werden umgerissene Kollektoren der Versicherung gemeldet. Im Rahmen einer Wohngebäudeversicherung des Hausbesitzers soll ein solcher Schaden dann häufig reguliert werden. Die Versicherer wissen aber, dass es Richtlinien zum Aufstellen von Solaranlagen gibt, und treten nicht ohne Weiteres alleine in die Regulierung des Schadens ein. Warum sollte ein solcher Versicherer für die fehlerhafte Konstruktion einer Anlage haften? Außerdem hat dieser Versicherer kein Geschäftsverhältnis mit dem Handwerker, sondern mit dem Besitzer der Immobilie. Damit besteht kein Grund für ihn, besonders nett und großzügig zu sein.
Die Versicherung des Handwerksbetriebes, der eine umgestürzte Anlage ursprünglich gebaut hat, kann sich auch auf den Standpunkt stellen, dass diese nicht für den Schaden haftet. Die Begründung könnte auf dieser Seite der Versicherer sein, dass der Betrieb grob fahrlässig die Aufstellrichtlinien des Herstellers der Solaranlage missachtet hat. Und warum sollte man denn wohl eine erwiesenermaßen falsche Konstruktion mit einem dicken Scheck belohnen?
Schäden dieser Art gehen leicht in den fünfstelligen Bereich und belasten daher im Haftungsfall auch mal die finanziellen Spielräume eines Handwerksbetriebs.
 
 Bild: Hayati Kayhan - stock.adobe.com
Logische Schlüsse
Die Hersteller der jeweiligen Kollektoren geben in der Regel genau an, wie diese auf einem Dach und insbesondere auf einem Flachdach zu montieren sind.
Bei allem handwerklichen Geschick sollte man sich immer zuerst an die Vorgaben des jeweiligen Herstellers halten, um dessen Produkt gegen Windangriff zu stabilisieren. Der entsprechende Ballast muss im Zweifel herangeschafft werden, um das Kippen bei Sturm zu vermeiden. Bestehen Bedenken in Bezug auf das Ballastgewicht und die notwendige Haltbarkeit des Flachdaches, hilft ein Statiker. Konstruktionen sollten nicht auf eigene Faust abgespeckt werden, um Gewicht zu reduzieren. Vielleicht lassen sich Konstruktionen mit Spannseilen optimieren und auf diese Weise Ballast einsparen? Auch in einem solchen Fall nimmt man als SHK-Handwerker bitte die Hersteller der Kollektoren in die Pflicht und lässt sich entsprechende Konstruktionen schriftlich als funktionsfähig attestieren.
Nach meiner Einschätzung wäre der Königsweg zur Befestigung von Kollektoren oder anderen Komponenten auf einem Flachdach die Verankerung im Beton dieser Konstruktion. Hierzu gibt es tolle Sonderlösungen, die man im besten Fall als Zusammenspiel von SHK-Betrieb, Dachdecker, Hersteller der Solaranlage und Bauherrn beschließen kann.
 
 Bild: IBH
 
     
     
  
     
     
     
     
    