Springe auf Hauptinhalt Springe auf Hauptmenü Springe auf SiteSearch
WERBUNG
WERBUNG
WERBUNG

hx- Diagramm mal in einfach

Generationen haben sich durch die wilden Linien gequält, so manche von uns haben sich in diesem "Spinnennetzartigen" Diagramm total verheddert. Nun ist Schluss damit, denn jetzt gibt es den Feuchterechner. Von nun an ist es ein Kinderspiel den Taupunkt, oder die spezifische Enthalpie zu bestimmen.

Der Feuchterechner von E+E Elektonik dient zur schnellen Umrechnung von Feuchtemessgrößen.
Einzigartig ist, dass der Feuchterechner auch Messunsicherheiten in die Berechnung mit einbezieht. Hilfreich ist das z.B. um auf Basis der Messgerätespezifikation realistische und verlässliche Gesamtunsicherheiten zu erhalten. Eine einfache und intuitive Bedienung des Feuchterechners erleichtert das Arbeiten. Abhängig von sich ändernden Umgebungsbedingungen zeigt der Feuchterechner sofort die resultierenden Feuchtemessgrößen.

Simulationen und Berechnungen können zur weiteren Verarbeitung vom Feuchterechner sowohl in Excel kopiert als auch zur Dokumentation als PDF abgespeichert werden.

Der Feuchterechner kann online verwendet werden. Sie müssen dazu kein Programm auf Ihrem PC installieren. Für mehr Informationen klicken Sie einfach hier!

Alternativ können Sie aber auch den Rechner kostenlos "absaugen".

Beschreibung der Messgrößen

Wasserdampf Partialdruck
Partialdruck der gasförmigen Phase des Wassers in einem gegebenen Volumen eines realen Gases oder Gasgemisches.
Formelzeichen: e
Einheit: hPa

Sättigungsdampfdruck über Wasser
Dampfdruck in einem realen Gas oder Gasgemisch bei Sättigung über Wasser.
Formelzeichen: ew
Einheit: hPa

Sättigungsdampfdruck über Eis
Dampfdruck in einem realen Gas oder Gasgemisch bei Sättigung über Eis.
Formelzeichen: ei
Einheit: hPa

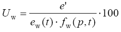
Relative Feuchte
In Prozent angegebenes Verhältnis des Wasserdampfpartialdrucks zum Sättigungsdampfdruck bei Sättigung über Wasser und bei gleichem Gesamtdruck und gleicher Temperatur.
Formelzeichen: Uw
Einheit: %

Relative Feuchte (technische Definition)
Für Temperaturen t < 0 °C wird die relative Feuchte auf den Sättigungsdampfdruck über Eis ei‘ bezogen. In Prozent angegebenes Verhältnis des Wasserdampfpartialdrucks zum Sättigungsdampfdruck bei Sättigung über Eis und bei gleichem Gesamtdruck und gleicher Temperatur.
Formelzeichen: Ui
Einheit: %

Taupunkttemperatur
Diejenige Temperatur, bei welcher der aktuelle Wasserdampfpartialdruck gleich dem Sättigungsdampfdruck ist und bei der Kondensation einsetzt.
Formelzeichen: td
Einheit: °C

Frostpunkttemperatur
Diejenige Temperatur, bei welcher der aktuelle Wasserdampfpartialdruck gleich dem Sättigungsdampfdruck ist und bei der Eisbildung einsetzt.
Formelzeichen: tf
Einheit: °C

Wasserdampfdichte (abs); absolute Feuchte
Verhältnis der Masse des Wasserdampfes zum Volumen, in dem sich das feuchte Gas befindet. Zmix ist der Kompressionsfaktor des Mischgassystems.
Formelzeichen: dv
Einheit: kg/m3

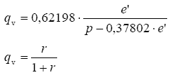
Mischungsverhältnis
Verhältnis der Masse des Wasserdampfes zu der Masse des trockenen Gases.
Formelzeichen: r
Einheit: g/kg

Volumenanteil Wasserdampf
Verhältnis des Volumenanteils des Wasserdampfes zum Gesamtvolumen des feuchten Gases.
Formelzeichen: wv
Einheit: %

Masseanteil Wasserdampf
Verhältnis der Masse des Wasserdampfes zu der Masse des feuchten Gases.
Formelzeichen: qv
Einheit: g/kg

Feuchtkugeltemperatur, Eiskugeltemperatur
Temperatur, die sich an der Grenzfläche einer befeuchteten oder vereisten Oberfläche und einem vorbeiströmenden Gas einstellt.
Formelzeichen: tw, ti
Einheit: °C

Spezifische Enthalpie
Zustandsgröße des feuchten Gases, die sich aus den spezifischen Enthalpien der Komponenten des Gemisches zusammensetzt und auf den Masseanteil des trockenen Gases bezogen ist. cpa ist die spezifische Wärmekapazität des trockenen Gases, cpv ist die spezifische Wärmekapazität von Wasserdampf jeweils bei konstantem Druck und lw ist die spezifische latente Wärme (Verdampfungswärme) von Wasser.
Formelzeichen: h
Einheit: J/kg

Mischungsverhältnis bei Sättigung
Verhältnis der Masse des Wasserdampfes bei Sättigung zu der Masse des trockenen Gases.
Formelzeichen: rw
Einheit: g/kg

Quelle: Verein Deutscher Ingenieure e.V.: VDI/VDE 3514. 2007

WERBUNG