Springe auf Hauptinhalt Springe auf Hauptmenü Springe auf SiteSearch
WERBUNG
WERBUNG
WERBUNG

Korrekturen für den U-Wert

Die Stellen hinter’m Komma

Rücksicht auf noch so winzige Einflüsse sind angesagt, wenn man den Wärmedurchgangs­koeffizienten, kurz U-Wert, eines Bauteils bestimmen möchte. Da wird auch schon mal die zweite Stellen hinter dem Komma aufs Korn genommen. Immer? Nein, aber immer öfter…

Korrekturen erfordern gute Kenntnisse und heutzutage gute Software
Korrekturen erfordern gute Kenntnisse und heutzutage gute Software

Der U-Wert gibt an welche Leistung in Watt (W) bezogen auf einen Quadratmeter (m²), bezogen auf eine Temperaturdifferenz in Kelvin (K) von einem Grad durch ein Bauteil abgegeben wird. Konkret heißt das dann für einen U-Wert von 1,0 W/(m²K) der als Außenwand von 10 Quadratmetern einen Raum mit 20 °C Raumtemperatur umschließt und damit an minus 10 °C Außentemperatur grenzt folgende Leistung abgegeben wird:

1W/(m²K) ● 10 m² ● 30 K = 300 W

Wir berichteten über dieses Thema ausführlich in der SBZ Monteur 09 im Jahre 2008 >>> (Der U-Wert - das Bollwerk).

Die versetzte Anordnung von Dämmschichten (hier rechts im Bild) sorgt für 
eine dichtere Konstruktion als das Verlegen auf Stoß. Bei gleicher 
Dämmschichtdicke wären daher die korrigierten U-Werte unterschiedlich.
Die versetzte Anordnung von Dämmschichten (hier rechts im Bild) sorgt für eine dichtere Konstruktion als das Verlegen auf Stoß. Bei gleicher Dämmschichtdicke wären daher die korrigierten U-Werte unterschiedlich.

Ohne Korrektur

Die Formel des U-Wertes lautet:

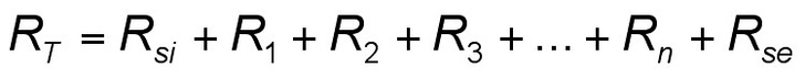
Der U-Wert ist also der Kehrwert des Wärmedurchlasswiderstandes RT. Und die Summe aller einzelnen Widerstände ergibt diesen gesamten Widerstand.

Einzelne Widerstände ergeben sich unter anderem aus den Bauteilschichten. Eine Styroporschicht stellt einen größeren Widerstand dar als eine Gipskartonplatte. Draußen und drinnen wird die Wärme nochmals verzögert übergeben. Rechnerisch liefern Rsi und Rse hierfür die Zahlenwerte.

Drei Werte gibt’s für Rsi

▲ Für den Wärmestrom aufwärts gilt: Rsi = 0,10 m²K/W

► Für den Wärmestrom horizontal gilt: Rsi = 0,13 m²K/W

▼ Für den Wärmestrom abwärts gilt: Rsi = 0,17 m²K/W

 

Für Rse also den externen (äußeren) Übergangswiderstand gilt:

Rse = 0,04 m²K/W

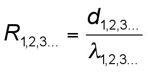
Die Widerstände einzelner Schichten errechnen sich aus:

Der Wert unter dem Bruchstrich heißt ausgesprochen Lambda-Wert (λ-Wert). Der Lambda-Wert gibt Aufschluss über die Wärmeleitfähigkeit eines Stoffes. Gute Wärmeleiter wie Kupfer haben einen Lambda-Wert von beispielsweise 380 W/(mK) Dem gegenüber hat eine gebräuchliche Dämmung einen Wert von 0,035 W/(mK).

Auch die relativ kleinen Mauerwerksanker haben einen Einfluss auf den U-Wert 
einer Außenwand.
Auch die relativ kleinen Mauerwerksanker haben einen Einfluss auf den U-Wert einer Außenwand.

Die klassische Außenwand

Ohne Korrekturen kann eine beispielhafte Außenwand locker durchgerechnet werden. Sie soll, wie folgt, aufgebaut sein:

Schicht 1:

1,5 cm Innenputz mit λ-Wert von 0,87 W/(mK)

Schicht 2:

24 cm Kalksandstein mit λ-Wert von 0,56 W/(mK)

Schicht 3:

10 cm Wärmedämmung mit λ-Wert von 0,035 W/(mK)

Schicht 4:

1,0 cm Außenputz mit λ-Wert von 0,70 W/(mK)

Rsi = 0,13 m²K/W (horizontal innen)

Rse = 0,04 m²K/W (extern, außen)

(die Einheit ist jeweils m²K/W)

Der Widerstand Wärme abzugeben beträgt also 3,487 m²K/W.

Der Kehrwert des Wärmedurchlasswiderstandes ergibt den U-Wert:

 

Korrekturen wenn nötig

Eigentlich wäre ja mit den genannten Beziehungen das Wesentliche getan…eigentlich. Die zuständige Norm also die DIN EN ISO 6946 hat aber noch ein paar Spitzen in petto. Da ist dann die Rede von Luftspalten in den Außenschichten. Klar, wenn der Wind durch die Ritzen einer Isolierung pfeifen kann, dann wird es ungemütlich, zumindest aber wird der U-Wert negativ beeinflusst. Oder wenn Befestigungselemente durch die Schichten des Bauwerks getrieben werden, ändern sich noch die Verhältnisse. Ein absoluter Exot den es zu korrigieren gilt ist das Umkehrdach. Diese drei Fälle ergeben die Rechenvorschrift für den korrigierten U-Wert. Es heißt dann:

Und dieses delta U (ΔU) ergibt sich aus den zuvor genannten Einflüssen.

ΔUg = Korrektur für Luftspalte

ΔUf = Korrektur für Befestigungen

ΔUr = Korrektur für Umkehrdächer

Korrektur für Luftspalte

Es werden drei Unterscheidungen vorgenommen. Eine absolut dichtes Bauteil erfährt die Korrektur von Null, also keine. Ist die Dämmschicht jedoch mit einem Luftspalt ausgestattet, aber auf der warmen Seite kann diese Luft nicht zirkulieren, erfährt der ursprüngliche U-Wert eine geringfügige Korrektur. Kann sich die Luft jedoch durch die Dämmung bewegen und auch noch eine Luftzirkulation auf der warmen Seite ergeben, dann erfolgt eine maximale Korrektur. Die beispielhaft gerechnete Außenwand mit einem U-Wert von 0,287 W(m²K) erfährt wird bei Annahme von Luftspalten jedoch keiner Zirkulation auf der warmen Seite der Dämmung eine Korrektur. Der U-Wert beträgt dann 0,293 W(m²K). Muß zusätzlich auch noch Luftzirkulation unterstellt werden, erhöht sich der Wert auf 0,314 W(m²K).

Hier entsteht ein Umkehrdach, die wasserdichte Bahn ist geschützt unter der 
Dämmung
Hier entsteht ein Umkehrdach, die wasserdichte Bahn ist geschützt unter der Dämmung

Korrektur für Befestigungen

Um beispielsweise Wärmedämm–verbundsysteme an einer Fassade zu befestigen, sind eine Anzahl von Befestigungen notwendig. Hierzu werden Anker durch die Dämmung in das vorhanden Mauerwerk montiert. Diese Anker sind teils aus Kunststoff und damit schlechte Wärmeleiter. Eine Korrektur ist dann nicht notwendig, wenn die Leitfähigkeit der Befestigung, also der λ-Wert, kleiner als 1,0 W/(mK) ist. Es gibt diese Anker aber auch aus Metall wie Stahl und Edelstahl. Dann leiten diese die Wärme recht gut, was natürlich nachteilig ist für den U-Wert. Dieser erfährt dann die bereits angedeutete Korrektur. Abhängig ist die Korrektur dann noch von der Anzahl der Befestigungen je Quadratmeter und von der Querschnittsfläche jedes Ankers. Denn ein dicker Anker leitet natürlich mehr Wärme als ein dünner. Die bereits berechnete Außenwand mit einem U-Wert von 0,287 W(m²K) erfährt wird bei Annahme von vier Befestigungen je Quadratmeter mit jeweils zwei Millimeter Durchmesser eine Korrektur auf einen U-Wert von 0,288 W(m²K).

Korrektur für Umkehrdächer

Der bereits angedeutete Exot ist das Umkehrdach. Bei diesem Dach liegt die wasserdichte Abdeckung unter der Dämmung. Die Dämmung wird also gewollt dem Regen ausgesetzt. Das Material der Dämmung nimmt aber die Feuchte nicht auf und die Dämmfähigkeit bleibt daher auch bei Regen weitestgehend erhalten. Der Vorteil dieser kuriosen Konstruktion besteht gegenüber dem konventionellen Dach in dem Schutz der Dachbahn vor den enormen Temperaturschwankungen eines Jahres. Im Sommer können schwarze Dachbahnen normaler Bauart locker Temperaturen von über 50 °C erreichen. Ein Sommerregen kühlt solche Konstruktionen dann innerhalb von Sekunden um 40 °C. Das Material arbeitet dann enorm und ist einer starken Belastung ausgesetzt. Ein Umkehrdach jedoch schützt die Dachhaut vor derartigen Temperaturschocks. Aber dafür, dass der Wärmeübergang zwischen einer feuchten Randschicht einer Dämmung und der Umgebung höher ist als der einer trockenen Lage, erfährt das Umkehrdach eine Korrektur. Ein Standard-Dach mit rund 15 Zentimeter Dämmung würde bei einer konventionellen Bauweise einen U-Wert von 0,217 W/(m²K) aufweisen. Bei gleichen Komponenten, jedoch vertauschter Anordnung, könnte dieses als Umkehrdach einen Wert von 0,267 W/(m²K) zeigen.

Zusammenfassung

Die U-Wert-Korrekturen sind in der Norm festgelegt und damit anzuwenden. Wer glaubt, hier werden die berühmten Korinthen gekackt, der hat nicht ganz unrecht. In der Praxis sind diese Korrekturen jedoch mittels einer Standard-Software in kurzer Zeit zu bestimmen. Die Berechnung dieser winzigen DIN-Spitzen nimmt also in der Summe nur wenig Zeit in Anspruch, sichert aber ein normkonformes Ergebnis. Also, korrigieren wenn es angesagt ist!

WERBUNG