Im §10 der 1. BImSch.V (Erste Bundes-Immissions Schutz Verordnung) findet man die zulässigen Abgasverlust Grenzwerte. Doch wie berechnet man den Abgasverlust. Was - Mit der Siegertschen Formel? Erkär mal ein bißchen genauer!
Die Höhe der Abgasverluste wird durch die 1. Bundesimmissionsschutz Verordnung beschränkt. Deshalb wird bei einer regelmäßigen Kontrollmessung, meist durch den zuständigen Schornsteinfeger, der Abgasverlust rechnerisch ermittelt und bei Überschreitung der Grenzwerte, muss das betroffene Gerät fachgerecht Instandgesetzt werden. Meistens ist ein verschmutzter Wärmetauscher Schuld an einem zu hohen Abgasverlust. Wie hoch dieser ausfallen darf hängt von der Nennleistung des Wärmeerzeugers ab.
 
 1.BImSchV
Sinn und Zweck der 1.BimSchV ist es die Abgasverluste bei Heizwertgeräten gesetzlich zu begrenzen. Als Abgasverlust bezeichnet man den Teil der erzeugten Wärme eines Heizgerätes bei einer Verbrennung, der im Abgas verloren geht und nicht genutzt wird. Er berechnet sich aus der Differenz von Wärmeinhalt des Abgases und der Verbrennungsluft. Je niedriger der Abgasverlust, desto geringer sind auch der Energieverbrauch und die Emissionen der Anlage.
Wird an einem Wärmeerzeuger eine Wartung durchgeführt, dann gehört die messtechnische Überprüfung des Wirkungsgrades der Feuerstätte über die Bestimmung des Abgasverlustes zu den Aufgaben für den Wartungsfachmann.
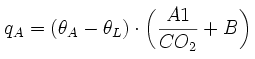
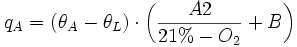
Experten ermitteln den Abgasverlust über die Beziehung verschiedener Faktoren. Neben der Abgastemperatur (ta) und der Temperatur der Verbrennungsluft (tL) müssen sie dabei auch die Sauerstoff- oder Kohlenstoffdioxid Konzentration im Abgas messen. Die Berechnung erfolgt dann über die sogenannte Siegert'sche Formel:
für CO2 gilt: qA = (ta - tL) x (A1 / CO2 + B) oder
für O2 gilt: qA = (ta - tL) x (A2 / 21 - O2 + B)
Die Konstanten A1, A2 und B stehen dabei für brennstoffabhängige Konstanten, die sich wie folgt ergeben:
 
 
 Oder:
 
 
  
 
 qA Abgasverlust [%]
θA Abgastemperatur [°C]
θL Zulufttemperatur/Verbrennungslufttemperatur [°C]
CO2 Kohlendioxid-Gehalt des Abgases [Vol%]
 bzw.
O2 Sauerstoff-Gehalt des Abgases [Vol%]
Für noch mehr Infos – Hier klicken!
 
     
     
     
     
     
     
    