Springe auf Hauptinhalt Springe auf Hauptmenü Springe auf SiteSearch
WERBUNG
WERBUNG
WERBUNG
…die Unterscheidung von Leistung und Energie?

Gibt´s da ´nen ­Unterschied??

Zuerst einmal geht es dabei nur ganz am Rande um Klugscheißerei. In erster Linie ist es wichtig, sich den Unterschied klarzumachen. Das heißt, einerseits das Potenzial (Energie) und andererseits die Wirkung (Leistung) deutlich zu unterscheiden und einen fassbaren Maßstab dafür im Kopf zu haben. Wenn das einmal steht, ist man gerüstet für jedes Fachgespräch in diesem Zusammenhang. Und der Small Talk mit dem Kunden läuft unter absolut sicheren Vorzeichen. Man hat es drauf und braucht nicht mehr drum herum oder sogar dumm zu schwätzen.

Am Stromzähler liest man die verbrauchte Energie in Kilowattstunden ab und bezahlt entsprechend dafür

Bild: Getty Images/iStockphoto

Am Stromzähler liest man die verbrauchte Energie in Kilowattstunden ab und bezahlt entsprechend dafür
Ein alter Baustrahler mit 1000 Watt Leistung „verbraucht“ naturgemäß 1 kWh Energie innerhalb einer Stunde. Die einfachste Art im Gedankenexperiment zu unterscheiden zwischen Leistung und Energie

Bild: Getty Images/iStockphoto

Ein alter Baustrahler mit 1000 Watt Leistung „verbraucht“ naturgemäß 1 kWh Energie innerhalb einer Stunde. Die einfachste Art im Gedankenexperiment zu unterscheiden zwischen Leistung und Energie

Energie im täglichen Leben

Im Alltag treffe ich den Titel „Energie“ im Zusammenhang mit Abrechnungen für meinen Haushaltsstrom. 3500 Kilowattstunden hat man mir im vergangenen Jahr auf der Stromrechnung ausgewiesen. Mein Versorger nennt es Verbrauch. Ihn interessiert also nicht, ob ich zwischendurch einen Backofen mit 3500 Watt (W) eingeschaltet habe oder meinen Baustrahler mit 1000 W. Der Versorger will die von ihm gelieferte Strommenge bezahlt bekommen, unabhängig davon, ob ich diese an einem Tag, in zwei Wochen oder in einem Jahr von ihm bezogen habe. Das Potenzial zählt für ihn, was ich daraus gemacht habe, ist meine Sache.

Leistung im täglichen Leben

Wechsel ich zwischendurch meine hocheffizienten LED-Lämpchen aus, steht auf den Fassungen, gegen welchen Leistungstyp ich diese ersetzen kann. Die 10-Watt-LED-Leuchte ersetze ich gegen eine mit gleicher Leistungsaufnahme. Mein Fahrzeug mit 100 Kilowatt (kW) Leistung zeigt mir ebenfalls, was ich erwarten darf. Der Kessel im Keller leistet in der Spitze 10 kW. Jetzt blicke ich schon mal durch. Der Alltag reibt mir immer wieder diese Größen unter die Nase.

Wie bringt man beide zusammen?

Die Verwandtschaft von Energie und Leistung ist natürlich schon in den Einheiten zu erkennen, also Kilowattstunde (kWh) und Kilowatt (kW). Und jetzt kommt der erste Trick, um sich die beiden Dinge in Abhängigkeit voneinander vorstellen zu können.

Würde ich meinen alten Baustrahler mit 1000 Watt, also 1 kW, eine Stunde brennen lassen, hätte ich eine 1 kWh an Energie verbraucht (denn: 1 kW x 1 h = 1 kWh). Jetzt wird langsam ein Schuh draus. Ich habe also im letzten Jahr so viel Strom verbraucht, wie mein Baustrahler in 3500 Stunden verbrauchen würde. Meinen Backofen mit 3,5 kW könnte ich 1000 Stunden am Stück betreiben (habe ich aber nicht, ehrlich!).

Wie sieht`s aus im SHK-Bereich?

Einen Liter Heizöl oder auch einen Kubikmeter Erdgas habe ich rechnerisch mit einem Energiegehalt von 10 kWh in meinem Kopf hinterlegt. Im Kollegenkreis spreche ich dann gerne von einem Äquivalent und man hält mich für sehr schlau, wenn ich sage: „Ein Liter Heizöl (oder auch ein Kubikmeter Erdgas) entspricht einem energetischen Äquivalent von 10 kWh.“

Mit dieser Genauigkeit gehe ich ran und kann meinen 10-kW-Kessel im Keller überprüfen. Wenn dieser also unter Volllast eine Stunde brennt, dann hat er 10 kWh Energie geliefert (denn: 10 kW x 1 h = 10 kWh), also so viel, wie in einem Kubikmeter Erdgas steckt. Lasse ich gedanklich den Wirkungsgrad des Kessels außer Acht, so müsste mein Gaszähler in dieser einen Stunde um einen Kubikmeter Gas weitergerückt sein. Hätte ich einen Ölkessel, wäre ein Liter Heizöl in dieser Stunde auf Nimmerwiedersehen verbrannt worden. Ich könnte 10 Heizkörper mit einer Leistung von 1000 W, also jeweils 1 kW 1 Stunde damit erwärmen (denn: 10 x 1 kW x 1 h = 10 kWh).

Wahrsagerei zur Leistung

Wenn wir es richtig draufhaben, können wir einem Endkunden die richtige Fußbodenheizung in seinen Neubau installieren. Anhand der Dämmung der Außenhülle und den Maßen seines Hauses erstellen wir eine Heizlastberechnung. Diese Berechnung weist zum Schluss jedem Raum einzeln eine gewisse Leistung zu, die zur Beheizung notwendig ist. Addiert man die Leistung aller Räume eines Hauses, ergibt sich am Ende auch die Leistung des Kessels. Die Heizflächen und der Kessel erbringen also im Betrieb eine Leistung in Watt.

Bin ich oft zu Hause und habe ich diese Heizung häufig in Betrieb, so wird meine Abrechnung für die verbrauchte Energie, ausgedrückt in Kilowattstunden, entsprechend hoch sein. Denn Kilowatt (Leistung) multipliziert mit Stunde (Zeit) ergibt Kilowattstunde (Energie). Bin ich während der Heizperiode kaum zu Hause und nutze daher eher selten die Leistung des Kessels und der Heizflächen, bleibt mein Verbrauch niedrig.

Wahrsagerei zur Energie

In einem Energieausweis kann man eine Prognose erstellen. Bei einer durchschnittlichen Zeit der Beheizung von vielleicht 2000 Stunden wird ein erwarteter Verbrauch an Energie für ein Jahr in Aussicht gestellt.

Einige unserer Profis, die als Gebäudeenergieberater tätig sind, trauen sich zu, solche Aussagen zu treffen. Statt in eine Glaskugel schauen die natürlich auch auf einen Computerbildschirm und füttern ein Berechnungsprogramm mit Daten. Die Ergebnisse dieser Berechnungen werden, wegen der Verwandtschaft zur Heizlast, immer wieder durcheinander geschmissen. Für Sie, lieber Leser, ist aber jedenfalls klar: Das eine ist die Heizlast in Watt, um Fußbodenheizungen oder auch Heizkörpern die korrekte Leistung zuzuordnen und den Kessel im Keller zu dimensionieren. Das andere ist ein Energieausweis, der unter Standardbedingungen eine Voraussage trifft, wie viel Energie in Kilowattstunden pro Jahr zur Beheizung notwendig sein wird.

Potenzial und Wirkung an weiteren Stellen

Als Anlagenmechaniker installieren Sie auch Warmwasserspeicher oder Durchlauferhitzer. Beide dienen dem Kunden zur Warmwasserbereitung und sind gleichzeitig ein klassisches Beispiel für die Unterscheidung von Leistung und Energie. In meinem Unterricht verdrehen viele die Augen, wenn ich diesen Vergleich heranziehe, aber am Ende wird es dann verstanden.

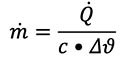
Wenn ich beispielsweise in einem Neubau mit enorm dicker Dämmung eine Wärmepumpe mit nur 8 kW Leistung installiere, dann kriege ich das Haus damit warm. Aber allein mit dieser geringen Leistung ist die Warmwasserbereitung nicht hinzukriegen. Die Raindance-Dusche im Elternbad des Hauses will 45 °C ausspucken und dieser Schwall soll mindestens 0,3 Liter pro Sekunde betragen, das entspricht 1080 Liter pro Stunde. Wenn das Wasser mit 10 °C am Hausanschluss eintritt, dann müsste eine Temperaturerhöhung um 35 Kelvin stattfinden. Meine Glaskugel oder mein Taschenrechner verraten mir aus der Beziehung Kuhistgleichemmalcemaldeltatheta, welche Leistung dazu notwendig ist, nämlich:

dabei ist

c = die spezifische Wärmekapazität
(für Wasser mit 1,163 Wh/(kgK))

Dem Baupaar könnte ich jetzt erklären, dass sie mit dieser Raindance-Dusche nicht glücklich werden, braucht diese doch eine Leistung von fast 44 kW, um die Raindance-Funktion wirklich nutzen zu können. Aber wir greifen als Anlagenmechaniker zu einem Trick. Wir lassen die 8-kW-Wärmepumpe in einer Heizpause nur für die Erwärmung eines Trinkwassererwärmers ackern. Dort stellen wir mit der Zeit beispielsweise 300 Liter erwärmtes Wasser zur Verfügung, die dann nicht mehr zeitgleich, also während des Duschens des Baupaars, erzeugt werden müssen.

Das Potenzial, das so geschaffen werden kann, reicht dann wahrscheinlich für ein wohliges Duschvergnügen. Es handelt sich bei dem angenommenen 300-Liter-Warmwasserspeicher also um einen Energiespeicher, dem man dann zumindest zeitweise eine hohe Leistung entnehmen kann.

Nach diesen Betrachtungen kann man aber voraussagen, dass ein Durchlauferhitzer mit seinen höchstens 24 kW Leistung das Duschvergnügen nicht erfüllen würde. Diese Leistung (oder auch Wirkung) reicht nicht aus. Will man voraussagen, was der Durchlauferhitzer schaffen kann, wiederum von 10 °C auf 45 °C Erwärmung, stellt man die Kuh-Formel um.

Man fragt also nach dem Massenstrom.

Ein Durchlauferhitzer mit maximal 0,16 l/s könnte also das Duschvergnügen unter der Raindance nur halb so schön erleben lassen, als es der Hersteller vorsieht. Besser ist es, man schafft sich das Potenzial zum Duschen durch Energiespeicherung, um die Wirkung, also die Leistung, als fließendes erwärmtes Wasser zeitversetzt entnehmen zu können.

Nicht unbedingt High-Tech, aber ein gutes Beispiel, wie man mit 3 kW Anschlussleistung in 2 Stunden Heizzeit einen Vorrat von 6 kWh schafft

Bild: Getty Images/iStockphoto

Nicht unbedingt High-Tech, aber ein gutes Beispiel, wie man mit 3 kW Anschlussleistung in 2 Stunden Heizzeit einen Vorrat von 6 kWh schafft

Weitere coole Fakten

Das nächste Beispiel möchte ich an einer übersichtlichen Menge Heizöl festmachen. Das Potenzial, also den Energiegehalt, legen wir ohne Anspruch auf höchste Genauigkeit mit 10 Kilowattstunden pro Liter fest.

Bleiben wir gedanklich also bei einem Liter Heizöl. Dieses Volumen werden wir im Gedankenexperiment mittels eines hocheffizienten Brenners zur Energiegewinnung nutzen. Sie können dieses Volumen von einem Liter Heizöl gedanklich in einer Stunde verbrennen und haben eine Kesselbelastung von 10 kW damit erzielt. Klar, denn:

eine Stunde (3600 s)

10 kWh / 1 h = 10kW

Skalieren Sie jetzt mal gedanklich hoch. Verbrennen Sie also dieses Volumen in immer kleineren Zeiträumen:

halbe Stunde (1.800 s)

10 kWh / 0,5 h = 20kW

Das entspricht in etwa einem Heizkessel in einem Zweifamilienhaus.

Viertelstunde (900 s)

10 kWh / 0,25 h = 40 kW

Das entspricht in etwa einem Heizkessel in einem älteren Sechsfamilienhaus.

eine Minute (60 s)

10 kWh / (60 s / 3.600 s/h) = 600 kW

10 kWh / 0,0166667 h = 600 kW

Diese Leistung findet man bei einem Heizkessel einer umfangreichen Wohnanlage.

halbe Minute (30 s)

10 kWh / (30 s / 3.600 s/h) = 1.200 kW

10 kWh / 0,0083333 h = 1.200 kW = 1,2 MW

Diese Riesen von Brennern findet man vielleicht in Zentralen von Fernwärmeanlagen.

Eine Sekunde (1 s)

10 kWh / (1 s / 3.600 s/h) = 36.000 kW

10 kWh / 0,0002778h = 36.000 kW= 36 MW

Die Treibwerke eines Kampfjets verbrennen während einiger Flugmanöver solch eine Menge an Treibstoff pro Zeiteinheit. Einige Brennerhersteller beherrschen auch noch diese Leistungsklasse

Ein Verkehrsflugzeug mit fetten Düsentriebwerken verbrennt beim Start mit voller Leistung ca. 3 Liter Brennstoff pro Sekunde. Das ist dann zwar Kerosin, dieser Brennstoff ist aber vom Energiegehalt vergleichbar mit Heizöl.

In diese Art der Leistungsberechnung einbezogen bedeutet das, dass man ein Liter Heizöl in 1/3 einer Sekunde verbrennen würde.

Drittelsekunde (0,3333 s)

10 kWh / (0,3333 s / 3.600 s/h) = 108.000 kW = 108 MW

10 kWh / 0,000093 h = 108 MW

Die Heizleistung entspricht dann 108 MW. Wohlgemerkt ist das nur die entsprechende Heizleistung, die ein Brenner theoretisch damit erreichen könnte. Trotzdem ist das schon gewaltig und zeigt die Relationen. In echten Vorschub für den Jet umzurechnen, ist mit dieser Art der Berechnung nicht möglich. Es handelt sich also nicht um ein Flugzeug mit 108 MW Antriebsleistung.

Den erhobenen Zeigefinger in Sachen Flugreisen und Umweltbelastung erspare ich mir an dieser Stelle. Wichtig ist, dass Sie und ich ein krasses Beispiel im Kopf behalten in Bezug auf Leistung und Energie.

Ein Liter Heizöl entspricht der Energiemenge von 10 kWh und kann abhängig von dem Zeitraum, in dem dieser Liter verbrannt wird, fast beliebig viel oder wenig Leistung ­erzeugen.

Ein Brenner im Leistungssegment von 1000 kW, also 1 MW.

Bild: Getty Images/iStockphoto

Ein Brenner im Leistungssegment von 1000 kW, also 1 MW.
Während der Startphase wird bei diesem Flugzeug-Koloss Vollgas gegeben. Bei 3 Litern Kerosin pro Sekunde entspricht das einer Heizleistung von 108.000 kW, also 108 MW. Die werden aber leider nicht komplett in Vorschub umgewandelt.

Bild: Getty Images/iStockphoto

Während der Startphase wird bei diesem Flugzeug-Koloss Vollgas gegeben. Bei 3 Litern Kerosin pro Sekunde entspricht das einer Heizleistung von 108.000 kW, also 108 MW. Die werden aber leider nicht komplett in Vorschub umgewandelt.

Abrechnungen

… erfolgen gern nach Verbrauch an Energie in Kilowattstunden über den

  • Stromverbrauch, der direkt am Stromzähler ablesbar ist
  • Gasverbrauch und mittels Umrechnung über den Energiegehalt des jeweils verbrauchten Kubikmeters
  • Heizölverbrauch als Differenz zur getankten Menge in Bezug auf die Ablesung am Wärmemengenzähler
  • Autor

    Dipl.-Ing. (FH) Elmar Held
    Dipl.-Ing. (FH) Elmar Held ist verantwortlicher Redakteur des SBZ Monteur. Er betreibt ein TGA-Ingenieurbüro, ist Dozent an der Handwerkskammer Münster und Hochschule Düsseldorf, sowie öffentlich bestellter und vereidigter Sachverständiger ; Telefon (0 23 89) 95 10 21 ; Telefax (0 23 89) 95 10 22

    Bild: Held

    WERBUNG