Springe auf Hauptinhalt Springe auf Hauptmenü Springe auf SiteSearch
WERBUNG
WERBUNG
WERBUNG

Ideale Gase

Offene Geheimnisse

Nur in Ausnahmefällen werden wir nicht von Gas umschlossen. Ein Leben lang hüllt uns ansonsten ein Wolke aus Sauerstoff und Stickstoff ein. Wir verdängen ca. 75 Liter mit unserem Körper und erfahren dadurch einen Auftrieb.

Ein Glockengasbehälter wurde optimal auf eine isobare Speicherung von Gas 
ausgelegt. Was das bedeutet, finden sie im nachfolgenden Bericht
Ein Glockengasbehälter wurde optimal auf eine isobare Speicherung von Gas ausgelegt. Was das bedeutet, finden sie im nachfolgenden Bericht

Ebenso wie im Wasser entspricht die Masse des verdrängten Volumens dem Auftrieb. Im Wasser wiegen wir dann bei 75 Liter Verdrängung rund 75 Kilogramm weniger. In der Umgebungsluft ergibt sich der Auftrieb sehr viel geringer und liegt bei rund 90 Gramm. Eine Waage täuscht also jeden Tag und würde nur im Vakuum richtig informieren. Einige Gase sind dann noch schwerer als Luft, Butan beispielsweise. Andere wiederum sind leichter und steigen freiwillig in den Himmel auf, wie etwa Erdgas. Aber klar ist, dass bestimmte Gesetze und Zusammenhänge die Eigenschaften von Gasen bestimmen.

Basis der Betrachtung

Gase lassen sich zusammendrücken, das so genannte Komprimieren. Gase lassen sich Erwärmen. Und sie passen sich der Umgebung an und verteilen sich gleichmäßig. Will man verschiedene Gase miteinander vergleichen, so sollte man die Umgebungsbedingungen vereinheitlichen. Man spricht dann von Normbedingungen wenn ein Druck von 1013 mbar herrscht und die Temperatur des Gases bei 273 Kelvin liegt, also einer Temperatur von Null Grad Celsius. Würde man bei genau diesen Verhältnissen ein Gas in einen würfelförmigen Behälter packen mit einem Meter Kantenlänge, dann betrachtet man 1 Kubikmeter Gas unter Normbedingungen. Ein Erwärmen des Behälters würde die Gasteilchen zum Tanzen anregen und der Druck in diesem Behälter würde steigen. Würde man die Wandungen des Würfels aufeinander zu bewegen, würde ebenfalls der Druck steigen. Gleichzeitig würde die Temperatur zunehmen, da man den Gasteilchen die Bewegungsenergie abgezwackt hätte.

Mit einem solchen Messgerät werden zuverlässig Leckmengen von Gasanlagen 
gemessen. An den im Bericht beschriebenen Zusammenhängen kommt jedoch keiner 
vorbei.
(Bild: Rau)
Mit einem solchen Messgerät werden zuverlässig Leckmengen von Gasanlagen gemessen. An den im Bericht beschriebenen Zusammenhängen kommt jedoch keiner vorbei. (Bild: Rau)

Tiefer rein

In unserem Kulturkreis geht man neben den etablierten Zahlen aus dem Zehner-System auch noch mit anderen Systemen um. Wir reden auch schon mal von einem "Paar" und meinen die Zahl Zwei oder von einem "Dutzend" und beschreiben damit die Zwölf. Chemiker und Physiker gehen noch einen leicht verrückten Schritt weiter. Wenn diese Leute von einem "mol" sprechen, dann meinen sie eine Stoffmenge von 6 • 1023 Teilchen. Und diese Zahl an Teilchen steckt regelmäßig in 22,4 Liter Gasvolumen unter Normbedingungen. Sie können das gerne nachzählen, Zwacken sie einfach von dem eben erdachten Würfel die entsprechenden 22,4 Liter ab und beginnen Sie zu zählen. Wenn Sie in jeder Sekunde eine Zahl weiterzählen, sind Sie bereits in 19025875190258752 Jahren durch damit. Jedenfalls gilt für die Normbedingungen von Gasen diese ominöse Zahl, die so genannte Avogadro Konstante.

Unterschiede

Für unsere Umgebungsluft gilt diese Konstante ebenso wie für ein Brenngas wie Methan oder Butan. Es gilt das Gesetz mit den 6 • 1023 Teilchen in 22,4 Liter Gasvolumen. Nur, dass ein einzelnes Teilchen eben ein Molekül ist in unterschiedlicher Zusammensetzung, Butan oder eben Methan. Folglich sind in 22,4 Liter Methangas unter Normbedingungen auch 6 • 1023 Teilchen bestehend aus CH4 oder in einem Mol Butangas die gleiche Anzahl an Molekülen bestehend aus C4H10 . Sie merken schon, als logische Konsequenz, worauf das hinausläuft. Ein Dutzend (oder auch ein Mol) Methan-Moleküle wiegen weniger, als ein Dutzend (oder auch wieder ein Mol) Butan-Moleküle. Butan ist also vergleichsweise schwerer als Methan, weil mehr einzelne Bausteine vorhanden sind die das jeweilige Molekül bilden. Während Methan in Luft aufsteigt, sackt Butan zu Boden. Würde man an einer beliebigen Stelle einen Mix aus Butan, Methan und Luft unter Normbedingungen einfangen und davon 22,4 Liter abzwacken, so wären sicherlich wieder 6 • 1023 Teilchen im Beutel.

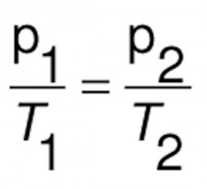
Isochores

Eine sehr einfache Formel kann für diese idealen Gase angenommen werden. Diese lautet schlicht:

p = absoluter Druck in Pascal (Pa)

T = absolute Temperatur in Kelvin (K)

Ausgehend von einer Ausgangssituation (1) kann man bei Änderung von Umgebungsbedingungen auf die Endsituation (2) schließen. Ein Beispiel erläutert die Zusammenhänge. Folgende Besonderheiten sollte man beachten. Das Volumen für diese Betrachtung bleibt konstant. Dies gilt beispielsweise für eine dichte Gasleitung oder einen Druckbehälter. Den Druck kann man in beliebigen anderen Einheiten einsetzen. Es muss nur auf beiden Seiten der Gleichung die gleiche Einheit benützt werden. Ein Gasvolumen in einem geschlossenen, festen Behälter kühlt sich von 40 °C auf 10 °C ab. Der Ausgangsdruck im Behälter betrug vor der Abkühlung genau 1 bar. Was verändert sich durch diese Abkühlung und welche Werte werden nach der Abkühlung genau erreicht?

p1 = 1 bar = 100.000 Pa

T1 = 40 °C = 313 K

p2 = ?

T1 = 10 °C = 283 K

Gedanklich kann man sich schon vorbereiten und abschätzen, dass die ehemals wild tanzenden Gasmoleküle durch die Abkühlung zur Ruhe kommen. Der Druck wird also nach der Abkühlung geringer sein. Um den rechnerischen Nachweis für diese Annahme zu führen, muss die Ausgangsformel umgestellt werden.

und eingesetzt ergibt sich dann:

Die Annahme mit der Druckabnahme hat sich also bestätigt. Der Druck ist auf 90415 Pa abgesackt. Diese Zustandsänderung bei konstantem Volumen (der Behälter hat sich nicht verändert) bezeichnet man als isochore Zustandsänderung. In der Praxis des Anlagenmechanikers findet diese Änderung immer wieder statt während der Dichtheitsprüfung von Gasleitungen. Nach dem Einfüllen des Prüfgases in eine Gasanlage erfolgt zunächst eine Temperaturanpassung des eingefüllten Gases. Meistens kühlt das eingefüllte Gas sich an den Rohrwandungen ab und der Druck senkt sich in den ersten Minuten nach dem Einfüllen. Obwohl die Gasleitung nicht zwingend undicht sein muss, findet daher meistens ein Absinken des Druckes statt.

Gemütlich und mit einer isobaren Zustandsänderung für die beteiligten 
Gase, das Kaminfeuer
(Bild: thinkstock)
Gemütlich und mit einer isobaren Zustandsänderung für die beteiligten Gase, das Kaminfeuer (Bild: thinkstock)

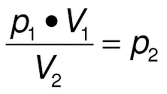
Isothermes

Eine weitere Formel lautet schlicht:

p = absoluter Druck in Pascal (Pa)

V = Volumen in Kubikmeter (m³)

Es handelt sich dabei um eine isotherme Zustandsänderung. Auch für diese Formel bringt ein Beispiel Licht ins Dunkle. Bei einem Umgebungsdruck von 1000 mbar wird eine Luftpumpe mit einem Liter Volumeninhalt betätigt, ohne, dass die Luft ausströmen kann (Daumen auf dem Auslass). Dabei verkleinert sich das Volumen auf 0,1 Liter. Welcher Druck herrscht nach der Volumenänderung? Aus der praktischen Erfahrung weiß man, dass der Druck sich erheblich erhöhen wird. Der Daumen kann das Ventil irgendwann nicht mal mehr verschlossen halten. Rein rechnerisch gilt:

p1 = 1000 mbar = 100.000 Pa

V1 = 0,001 m³

p2 = ?

V2 = 0,0001 m³

und eingesetzt gilt:

Wen wundert es, dass der Druck auf das zehnfache ansteigt, wenn das Volumen um das zehnfache verringert wurde? Die Einheit des Volumens hätte übrigens auch locker und korrekt in Liter ausgedrückt werden können. Das Ergebnis bliebe gleich.

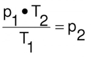
Isobares

Eine weitere Variante für ein Gas ist die isobare Zustandsänderung. "Iso" und "bar" deutet schon darauf hin, dass der Druck unverändert bleibt. Die Formel für diesen Spezialfall lautet dann:

V = Volumen in Kubikmeter (m³)

T = absolute Temperatur in Kelvin (K)

Wiederum erläutert ein Beispiel die Zusammenhänge. Die Wohnzimmerluft von 20 °C (293 K) eines Raumes wird in dem dort betriebenen, offenen Kamin auf 250 °C (523 K) erwärmt. Auf welches Volumen erweitert sich ein Kubikmeter dieser Raumluft?

V1 = 1,0 m³

T1 = 20 °C = 293 K

V2 = ?

T1 = 10 °C = 523 K

Die umgestellte Formel ergibt:

Und eingesetzt kann man erkennen:

Ein Kubikmeter bläht sich also auf 1,785 Kubikmeter auf.

In der Praxis erfährt jede Kaminfeuerung also eine isobare Zustandsänderung der beteiligten Gase. Dabei wird das Gas naturgemäß leichter als die Umgebungsluft. Und diese Umgebungsluft drückt letztlich das Abgas zum Schornstein hinaus.

Druckerhöhung durch Volumenverkleinerung, ein alter und bekannter Trick der 
Luftpumpe
(Bild: thinkstock)
Druckerhöhung durch Volumenverkleinerung, ein alter und bekannter Trick der Luftpumpe (Bild: thinkstock)

Verallgemeinerungen

Die drei beschriebenen Zustandsänderungen beziehen sich im Einzelnen auf 2 Größen für den Zustand eines Gases, die dritte bleibt jeweils unverändert. Aber fasst man die Erkenntnisse zusammen, dann ergibt sich eine Formel die aussagt, dass für ein ideales Gas gilt:

Mit dieser Verallgemeinerung lassen sich die Beziehungen am besten im Kopf behalten. Für den Einzelfall einer in der Praxis notwendigen Problemlösung fällt dann ohnehin der Teil der Formel weg, der unverändert bleibt, also Druck, Volumen oder Temperatur

WERBUNG