Springe auf Hauptinhalt Springe auf Hauptmenü Springe auf SiteSearch
WERBUNG
WERBUNG
WERBUNG
Auslegen nach VDI 4645

Luft-Wasser-Wärmepumpe dimensionieren

Da hört man immer wieder in der Presse sowie im Verwandten- und Bekanntenkreis von „falsch“ installierten Wärmepumpen. Hohe Betriebskosten, oft ein Vielfaches der vorher kalkulierten Berechnungen sind die Folge. Ein Fehlerpotential liegt in der Installation, meist ist der Fehler aber bereits in der Planung und Auslegung zu suchen.

Voruntersuchung und Grundlagenermittlung

Bei der Voruntersuchung werden die Gebäude- und Standortspezifischen Randbedingungen aufgenommen. Genehmigungsrechtliche Rahmenbedingungen wie z.B. das GEG, die TA-Lärm, die Trinkwasserverordnung sind unbedingt zu berücksichtigen. Im Neubau liegt die Gebäudeheizlastberechnung gem. DIN EN 12831-1 vor, diese ist die Basis der weiteren Vorgehensweise. Im Bestand sind meist weniger verlässliche Daten vorhanden, oft wurde das Gebäude auch zu unterschiedlichen Zeitpunkten teilsaniert durch neue Fenster, Türen oder/und Dämmung. Hier empfiehlt sich für den ersten Schritt eine überschlägige Heizlastberechnung durchzuführen, diese ist aber vor Realisierung durch eine genaue Heizlastberechnung gem. DIN EN 12831-1 zu überprüfen und zu ersetzen.

Heizlast in Abhängigkeit von der beheizbaren Nutzfläche (in Anlehnung an Nationaler Anhang zu DIN EN 15378)

Bild: VDZ

Heizlast in Abhängigkeit von der beheizbaren Nutzfläche (in Anlehnung an Nationaler Anhang zu DIN EN 15378)

Überschlägige Heizlastberechnung

Nicht immer ist eine ausführliche Berechnung schon im Vorfeld möglich. Dann stehen in der Praxis unterschiedliche Ansätze zur Verfügung. Eine Möglichkeit besteht darin die Heizlast überschlägig über den Energieverbrauch der letzten Jahre zu ermitteln. Hier wird dringend eine Bezugsperiode von mindestens drei Jahren empfohlen, um einen Mittelwert zu bekommen. Bei Ein- und Zweifamilienhäusern hat bei 1.900 Vollnutzungsstunden und einen Kesseljahresnutzungsgrad von 75 % und normalen Trinkwarmwasserverbrauch für Erdgas ein Divisor von 230 m³/ a kW und für Heizöl 250 l/ a kW Ansatz gefunden. Bei einem Jahresgasverbrauch von beispielweise 2.300 m³/h Gas pro Jahr ergibt sich eine überschlägige Heizlast von 10 kW.

Ist die Heizung ineffizient gelaufen, die Heizgrenztemperatur zu hoch eingestellt gewesen, kein hydraulischer Abgleich erfolgt, etc., so hat dies alles Auswirkungen auf einen hohen Verbrauch der letzten Heizsaison. Dies birgt alles Optimierungspotential, genauso wie eine energetische Teilsanierung (Fenster, Türen, Dämmung), so dass die Ermittlung der Heizlast über den Verbrauch mit Vorsicht zu genießen ist.

Eine andere Möglichkeit wird durch die DIN EN 15378 gegeben, in Abhängigkeit von der beheizbaren Nutzfläche und dem Gebäudebaujahr eine Heizlast je m² Wohnfläche zu ermitteln. Aber auch diese Methode kann stark fehlerbehaftet sein, da keinerlei Berücksichtigung des Nutzerverhaltens und mögliche durchgeführte Sanierungsarbeiten.

Etwas genauer kann dies mit dem Onlinerechner vom Bundesverband Wärmepumpe durchgeführt werden. Abhängig vom Aufstellort sind die entsprechenden Klimadaten wie die Normaußentemperatur und die Jahresmitteltemperatur verfügbar. Bauliche Besonderheiten, wie Gebäudetyp (EFH, EFH freistehend, RMH, EFH in Siedlung) und Teilsanierungen (Dach-, Wanddämmung, Isolierverglasung) finden nach entsprechender Eingabe Berücksichtigung. Berechnung der Heizlast kann nach Baualtersklasse, nach Jahresverbrauch, nach Vollaststunden oder nach Hüllfläche ermittelt werden.

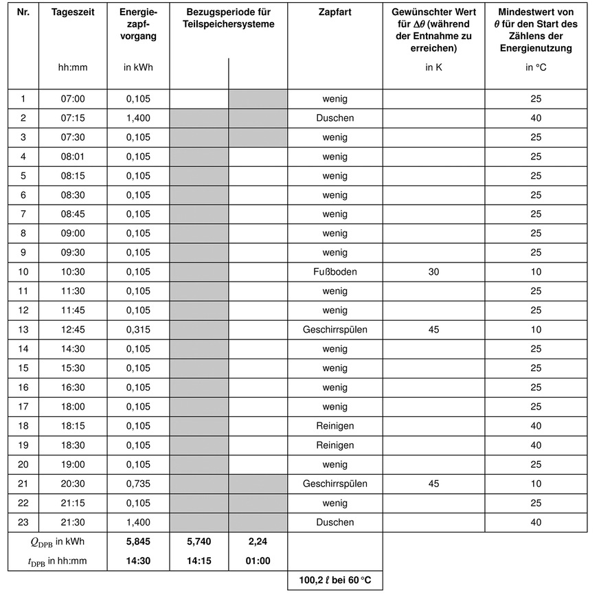
Beispiel für ein durchschnittliches Zapfprofil einer Familie, einschließlich Duschen (100 Liter bei 60 °C)

Bild: VDI

Beispiel für ein durchschnittliches Zapfprofil einer Familie, einschließlich Duschen (100 Liter bei 60 °C)

Die Heizlast ist bekannt und dann?

Nachdem die Heizlast über die DIN EN 12831-1 ermittelt wurde müssen wir uns über die Brauchwassererzeugung, eventuelle Sperrzeiten und sonstige Verbraucher Gedanken machen. Hier gibt die VDI 4645 eine klare Hilfestellung zur Dimensionierung. Zum besseren Verständnis werden wir die folgenden Schritte an einem Praxisbeispiel durchgehen:

Gegeben ist ein Mehrfamilienhaus mit sechs Wohneinheiten. Drei Wohneinheiten sind für ein Paar, die anderen drei Wohneinheiten für eine dreiköpfige Familie ausgelegt. Jede Wohneinheit verfügt über eine normale sanitäre Ausstattung mit Dusche, keine Schwallbrausen sind verbaut. Die Heizlast wurde mit 15 kW ermittelt, Aufstellort ist 76131 in Karlsruhe. Im Gebäude ist nur Fußbodenheizung verbaut, die Vorlauftemperatur im Auslegungspunkt beträgt 35 °C. Mit dem EVU wurde ein Wärmepumpentarif abgeschlossen und maximal 2 h Sperrdauer am Tag vereinbart. Der Gebäudeeigentümer wünscht eine monovalente Betriebsweise. Monovalent bedeutet, dass die Wärmepumpe der alleinige Wärmeerzeuger ist und die volle Heizleistung bei der entsprechenden Normaußentemperatur erbringt.

Über die frei verfügbare Klimakarte vom Bundesverband Wärmepumpe bekommen wir über Eingabe der PLZ notwendige Informationen wie die Jahresmitteltemperatur (11 °C), die Norm-Außentemperatur (-10,1 °C), die Klimazone und die Häufigkeit der Außentemperatur in 1 K Schritten.

Nun ermitteln wir den Heizwärmebedarf QH, AP, dies ist die Energiemenge für die Raumheizung über 24 h.

QH, AP = 15 kW x 24 h = 360 kWh

Trinkwarmwasserbedarf nach bekannten Zapfprofilen

Nun widmen wir uns dem Trinkwasserbedarf. Im Anhang J der VDI 4645 sind durchschnittliche Zapfprofile hinterlegt.

Wir entnehmen einerseits den Energiebedarf für die Trinkwassererwärmung (TWE) für die „worst case“ Bezugsperiode sowie den täglichen Energiebedarf. Hierbei ergeben sich folgende Werte:

Durchschnittliches Zapfprofil Paar:

QDPB = Energiebedarf für die TWE während der gewählten Bezugsperiode: 2,24 kWh von 20:30 – 21:30

QDP = Täglicher Energiebedarf für die TWE: 5,845 kWh

Durchschnittliches Zapfprofil dreiköpfige Familie:

QDPB = Energiebedarf für die TWE während der gewählten Bezugsperiode: 4,445 kWh von 20:30 – 21:30

QDP = Täglicher Energiebedarf für die TWE: 11,665 kWh

Multiplizieren wir die wie Werte für QDPB und QDP mit den entsprechenden Nutzereinheiten, bekommen wir folgende Ergebnisse:

QDPB = 2,24 kWh x 3 + 4,445 kWh x 3 = 20,055 kWh

QDP = 5,845 kWh x 3 + 11,665 kWh x 3 = 52,53 kWh

Es wird also für die Zeit von 20:30 – 21:30 Uhr 20,055 kWh Energiebedarf für die Trinkwassererwärmung benötigt, für den ganzen Tag 52,53 kWh. Je nach Speichergüte sind gemäß Herstellerangaben Bereitschaftswärmeverluste hinzuzurechnen, in unserem Falle 2,47 kWh/24 h, so dass die tägliche Energiemenge QDP, ges = 55 kWh beträgt.

Hydraulische Schaltung zur Speicherung von Trinkwarmwasser

Bild: Elco

Hydraulische Schaltung zur Speicherung von Trinkwarmwasser

Wie groß ist der Speicher zu wählen?

Abhängig von der Art der Energiespeicherung für die Deckung des Trinkwarmwasserbedarfs wird die Speichergröße ermittelt. Wir unterscheiden zwischen der direkten Speicherung von Trinkwasser oder die Speicherung von Heizungswasser zur Versorgung einer Frischwasserstation. Aus hygienischer Sicht ist die Speicherung von Heizungswasser zu bevorzugen. Wichtige Informationen für die technische Regeln für Trinkwasser-Installationen gibt die DIN 1988-200 sowie das Arbeitsblatt DVGW W 551.

Speicherung von Trinkwarmwasser

Als erstes betrachten wir das notwendige Speichervolumen VDPB für die Speicherung von Trinkwarmwasser. Hierzu benötigen wir den Daten QDPB für die Bezugsperiode mit dem höchsten Energiebedarf. 10 °C kaltes Frischwasser ist auf 60 °C zu erwärmen, es ergibt sich somit eine Temperaturspreizung von 50 K. Die spezifische Wärmekapazität von Wasser ist mit 1,163 Wh/(kg x K) gegeben, somit ergibt sich eine erforderliches Speichervolumen von

VDPB = 20.055 Wh / ((1,163 Wh/(kg K) x (333 - 283) K) = 345 kg entsprechend also 345 l

Weiter zu berücksichtigen sind die Verluste über eine Zirkulationsleitung QZirk (falls vorhanden) sowie der Speicherwirkungsgrad. Die Zirkulationsverluste können dem Energieausweis entnommen werden, in unserem Beispiel sind dies 4,8 kWh/24 h. Da wir die Berechnung für die Bezugsperiode von 20:30-21:30 Uhr durchführen, entspricht dies 0,2 kWh. Bei maximal 5 K Temperaturverlust im Rücklauf der Zirkulationsleitung (von 60 auf 55°C) kommen wir somit auf ca. 35 l erforderliche Trinkwarmwassermenge, um die Zirkulationsverluste zu kompensieren. Um nun das erforderliche Mindestspeichervolumen VSP, min zu ermitteln addieren wir die 345 l zu den 35 l und berücksichtigen einen Aufschlag Speicherwirkungsgrad fTWE mit 15 %. Dieser Zuschlag wird für nicht nutzbares Speichervolumen aufgrund von Durchmischung angesetzt.

VSP, min = (345 l + 35 l) x 1,15 = 437 l

Speicherung von Heizungswasser für zentrale oder dezentrale Frischwassersysteme

Die Logik ist wie die Speicherung von Trinkwarmwasser, jedoch finden Verluste für Zirkulation und Speicher keinen Ansatz, da diese bereits mit den für die Berechnung gewählten Temperaturen berücksichtigt wurden. Bei einer Frischwasserstation wird eine Spreizung von 30 K auf der Heizungswasserseite empfohlen. Die Speichersolltemperatur beträgt 55 °C, die Rücklauftemperatur von der Frischwasserstation beträgt entsprechend 25 °C. Somit berechnen wir das notwendige Speichervolumen wie folgt:

VSP, min = 20.055 Wh / ((1,163 (Wh/kg K) x (328 K-298 K) K) = 575 kg = 575 l

Aufgrund der geringeren Spreizung des Heizungswassers (30 K zu 50 K) ergibt sich ein größeres notwendiges Mindestspeichervolumen. Je nach Präferenz der Art der Energieeinspeicherung sind nun die Speicher dimensioniert.

Sperrzeiten berücksichtigen

Anhand der berechneten Energiemengen für die Raumheizung und die Warmwassererzeugung wird die Wärmepumpe dimensioniert. Sind sonstige Verbraucher vorhanden, wie z.B. ein innenliegendes Schwimmbad, welches im Winter betrieben wird, wäre diese Energiemenge hinzuzurechnen, falls Versorgung auch über die Wärmepumpe erfolgt. In unserem Fall gibt es keine weiteren Verbraucher. Die Sperrzeiten des EVU finden nun Berücksichtigung.

Oder in Umgangssprache:

Addiere

Heizwärmebedarf (hier 360 kWh)

+ Warmwasserbedarf (hier 55 kWh)

+ gegebenenfalls zusätzliche Bedarfe (hier 0 kWh)

und teile durch die Zeit, die dir zur Erbringung der Heizleistung zur Verfügung steht (hier Stunden Abschaltung innerhalb von 24 Stunden)

Unsere Berechnung ergibt, dass wir eine Luft-Wasser-Wärmepumpe mit 18,9 kW bei einer Normaußentemperatur von -10,1°C und 35°C Vorlauftemperatur benötigen, um die ­notwendige Leistung für Heizung und Brauchwasser zu erbringen.

Bei dem Hersteller unseres Vertrauens finden wir bei der Normaußentemperatur von -10,1 °C nun zwei Modelle: Einmal mit 18 kW und einmal mit 13 kW. Die größere Wärmepumpe ermöglicht fast den vom Bauherrn gewünschten monovalenten Betrieb, die kleinere Wärmepupe kann monoenergetisch betrieben werden. Bis zum Bivalenzpunkt von -5 °C Außentemperatur erbringt die Wärmepumpe die notwendige Heizlast, dann kommt der Heizstab unterstützend hinzu.

Welche Wärmepumpe soll nun eingesetzt werden? Beide Wärmepumpen erfüllen die Vorgaben. Da jedoch Außentemperaturen < -5°C durchschnittlich nur 108,2 h im Jahr auftreten, wird die kleinere Wärmepumpe empfohlen. Diese hat neben den geringeren Investitionskosten auch einen besseren Teillastregelbereich bei höheren Außentemperaturen, die deutlich häufiger vorkommen als die tiefen Temperaturen. Mit Wahl der Wärmepumpe werden noch die notwendigen Volumen für die Mindestlaufzeit der Wärmepumpe sowie für den Abtauprozess berechnet. Für den monoenergetischen Betrieb findet eine Überprüfung statt, ob der Deckungsanteil der VDI 4650 Vorgabe entspricht.

Schulungsangebote des Autors

In den zwei bis dreitägigen Schulungen nach VDI 4645 Kategorie PE – Planen und Errichten wird tiefer eingestiegen in die Materie. Bilanzgrenzen, Effizienzbetrachtung, Voruntersuchung, Grundlagenermittlung und Detailplanung stehen genauso auf dem Programm wie Hydraulikschemen und ein Praxisteil an einer Wärmepumpe. Im Frühjahr sind in NRW mehrere Seminare vom Herstellerneutralen Schulungspartner „Hitzköpfe“ im Angebot.

https://www.tga-lars-keller.de/seminarinhalt.html

Hydraulische Schaltung für Speicherung von Heizungswasser zur Versorgung eines Frischwassersystems

Bild: Solvis GmbH

Hydraulische Schaltung für Speicherung von Heizungswasser zur Versorgung eines Frischwassersystems

Bild:  ait-deutschland GmbH, Ablesebeispiel

Onlinerechner des BWP durch Klick auf den QR-Code oder unter https://www.waermepumpe.de/normen--technik/heizlastrechner/

Bild: Held

Autor

Autor

Dipl. Ing. (FH) Lars Keller
hat 20 Jahre Erfahrung in Projektierung und Vertrieb von Kälte- und Klimaanlagen und Wärmepumpen, Autor von Fachbüchern, Referent und Schulungspartner für die VDI 4645.

Bild: L. Keller

WERBUNG