Springe auf Hauptinhalt Springe auf Hauptmenü Springe auf SiteSearch
WERBUNG
WERBUNG
WERBUNG
Wie funktioniert eigentlich eine Abgaskontrolle nach BImSchV ?

Mit Verlusten rechnen

Aber im SBZ Monteur geht es natürlich primär (also zuallererst) um das Vermitteln von Fachwissen und weniger um den intelligenten Auftritt im Pub an der Theke. Trotzdem liefert Fachwissen eben auch Stoff für ein angepasstes, neues, intellektuelles Image. BImSchV beschreibt jedenfalls die Bundes-Immissionsschutzverordnung und die EnEV (neu GEG*) die Energieeinsparverordnung.

Verordnungen haben nicht nur Empfehlungscharakter, sondern sind aufgrund eines Gesetzes verfasst worden. Insbesondere bei der BImSchV steht das Bundes-Immissionsschutzgesetz im Vordergrund. Der Charakter der Verordnung ist also nicht „Lieber Anlagenmechaniker, sei doch so nett und mach mal …“, sondern „du sollst …, du musst …, ansonsten gibt’s Ärger oder ich nehme deine Anlage nicht ab“. Der Anlagenbetreiber und sein Anlagenmechaniker werden also abschließend kontrolliert. Es ist daher sinnvoll, die Bewertungsmethode der BImSchV zu kennen und zu berücksichtigen.

Welche Kessel sind betroffen?

Betroffen von den Regeln der BImSchV sind die Kesselanlagen, die meistens jährlich zur Wartung anstehen. Dieser Bericht bezieht sich auf Gas- und Ölfeuerungen. Häufig werden diese gerade innerhalb der Heizperiode gewartet und erfahren abschließend eine Beurteilung durch den Anlagenmechaniker. Diese Beurteilung ist dann zwar nicht unbedingt amtlich, setzt aber den Betreiber der Anlage über den Zustand des Kessels in Kenntnis. Die amtliche Segnung erhält der Kessel dann meistens vom Schornsteinfeger. Die Messprozedur ist festgeschrieben und unterliegt der in diesem Bericht beschriebenen Verordnung.

Die Messdaten

Die Abgasverluste errechnen sich aus den Werten der Abgastemperatur in Grad Celsius, der Verbrennungslufttemperatur in Grad Celsius und entweder des CO2-Volumengehaltes im Abgas in Prozent oder des O2-Volumengehaltes an Sauerstoff im Abgas in Prozent.

Die einfachste Erfassung bezieht sich auf die Verbrennungslufttemperatur. Diese wird ermittelt, indem einfach die Raumtemperatur gemessen wird. Im Zweifel reicht sogar ein Quecksilberthermometer dazu aus. Zu den anderen Werten kommt man nach Einhaltung entsprechender Vorgaben der BImSchV. Nachfolgende Abschnitte klären, wo und wie die Werte für die Abgastemperatur und die Volumengehalte verordnungskonform ermittelt werden.

Die Messöffnung

Je weiter die Messöffnung vom Kessel entfernt ist, umso deutlicher wird das Abgas auf dem Weg zum Schornstein abgekühlt. Umgekehrt gilt natürlich sinngemäß das Gegenteil. Zu nahe am Ausgang des Kessels zu messen, würde recht hohe Temperaturen zur Folge haben. Auch kann man unterstellen, dass sich noch keine gleichmäßige Abgasströmung direkt hinter dem Wärmetauscher des Kessels gebildet hat. Die Vorgabe der BImSchV besagt, dass der Abstand der Messöffnung dem zweifachen Durchmesser des Verbindungsstückes entsprechen soll, gemessen ab Abgasreinigungseinrichtung oder Wärmetauscher. Bei einem Abgasrohr von 80 mm Durchmesser wird dies beispielsweise also 160 mm betragen. Eine Ausnahme ist zulässig, wenn sogenannte reproduzierbare Messergebnisse an anderer Stelle gemessen werden können. Dann hat meistens der Hersteller des Kessels eine entsprechende Öffnung auserkoren.

Emission, Transmission, Immission, wer kennt schon die genaue Bedeutung?

Emission, Transmission, Immission, wer kennt schon die genaue Bedeutung?

Der Messzeitpunkt

Eine Messung direkt nach Kesselstart wäre genauso unsinnig wie eine Messung nach Vollaufheizung des Kessels mit Maximaltemperatur. Die BImSchV soll ja nicht den oft katastrophalen Brennerstart entlarven und dokumentieren, noch soll der Kessel unter einer seltenen Extrembelastung untersucht werden. Sinn ist es ja, den Einsatz des Wärmeerzeugers unter praxisnahen Bedingungen zu ermitteln. Daher wird ein Zeitraum von zwei Minuten nach dem Brennerstart abgewartet, um frühestens die Messung einzuleiten. Der Wärmeerzeuger sollte dabei nicht eiskalt sein. Gefordert ist eine Temperatur von 60 °C. Natürlich gilt diese Temperaturvorgabe nur für Kessel, die unter normalen Bedingungen diesen Wert auch erreichen. Ein Niedertemperaturkessel mit gleitender Regelung kann daher bereits bei Temperaturen unter 60 °C durchgemessen werden. Es zeigt sich im Verlauf der Betrachtungen noch, dass dieser Umstand recht entscheidend ist.

Der Messpunkt

Der sogenannte Kern des Abgasstromes ist der entscheidende Punkt für die Messung. Gemeint ist die heißeste Stelle am Querschnitt der Messöffnung. Dieser Kern lässt sich in der Praxis und mit den heute üblichen Messgeräten recht einfach finden. Da moderne Temperaturfühler mit dem angehangenen Messgerät die Temperatur des gemessenen Abgases fast ohne zeitliche Verzögerung anzeigen, ist die Suche nach dieser heißesten Stelle im Abgas recht einfach. Man schiebt die Sonde hin und her und verändert den Anstellwinkel, um wirklich die heißeste Stelle zu finden. Dort ist natürlich auch zwangsläufig die Verdünnung mit anderen Bestandteilen des Abgases am geringsten – Kernstrom eben.

Zum Schutz der existenziell notwendigen Atemluft wurde das Bundes-Immissionsschutzgesetz erlassen

Zum Schutz der existenziell notwendigen Atemluft wurde das Bundes-Immissionsschutzgesetz erlassen

FILM ZUM THEMA

Sie können sich einen interessanten Film zum Thema Kesselwartung ansehen, wie immer auf:

www.sbz-monteur.de Das Heft Lehrfilme zum Heft

Ablauf und Berechnung

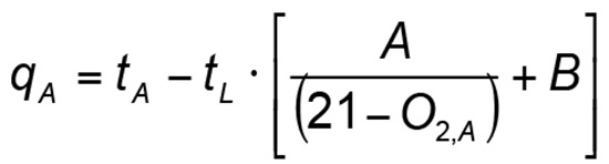
Szene einer Messung: Die Raumtemperatur wird aktuell gemessen. Der Ölkessel ist seit etwas mehr als zwei Minuten in Betrieb. Die Messöffnung, in etwa zweifachem Abstand des Abgasrohrdurchmessers hinter dem Kessel, wird geöffnet und der Temperaturfühler mit der Ansaugöffnung für das Abgas eingeführt. Es wird der heißeste Punkt an dieser Stelle gesucht und die Messdaten vom Sauerstoffgehalt im Abgas werden für diese Stelle ermittelt. Der Messcomputer des eingesetzten Messgerätes rechnet derweil schon kontinuierlich den Wirkungsgrad des Kessels aus. Eigentlich bräuchte der bedienende Anlagenmechaniker keine Ahnung zu haben von dem Berechnungsverfahren, das dort in dem kleinen Rechner abläuft. Will man jedoch den Durchblick haben, so wie Sie, dann schaut man sich auch die Formel zur Berechnung der Verluste an.

Diese Formel der BImSchV zur Ermittlung der Verluste ist ein wenig konstruiert und entspricht daher eigentlich nicht den üblichen Gesetzen der Physik. Man spricht daher von einer zugeschnittenen Größengleichung. Hier werden die berühmten Äpfel und Birnen in einen Topf geschmissen, verrechnet und raus kommt noch nicht einmal Kompott, sondern ein Salatteller mit Schrauben. Sei’s drum.

Die Formel lautet:

Es bedeuten:

qA = Abgasverlust in Prozent

tA = Abgastemperatur in Grad Celsius

tL= Verbrennungslufttemperatur in Grad Celsius

O2,A= Volumengehalt an Sauerstoff im trockenen Abgas in Prozent

Die beiden festen Werte A und B werden abhängig vom eingesetzten Brennstoff vorgegeben. Setzt man ein elektronisches Messgerät ein, so wird zu Beginn der Messung die Abfrage nach dem Brennstoff geklärt und die Berechnung der Verluste erfolgt dann automatisch mit den korrekten Werten für A und B, Dabei werden folgende Werte den Vorgaben der BImSchV entnommen:

Brennstoff A B
Heizöl 0,68 0,007
Erdgas 0,66 0,009
Kokereigas 0,60 0,011

Flüssiggas 0,63 0,008

Beispiel für die Messung eines ölbefeuerten Kessels mit 25 kW Leistung:

Messergebnisse I:

Raumtemperatur im Aufstellraum: 20 °C

Abgastemperatur im Kernstrom: 190 °C

O2-Volumengehalt im Abgas: 10 %

Eingesetzt in die Formel ergibt sich dann:

Der Abgasverlust dieser Anlage beträgt also 11,7 %, gerundet 12 %, und erfährt prompt eine Bewertung. Nach BImSchV ist dieser Wert für einen ölbefeuerten Kessel mit 25 kW Leistung inakzeptabel. Dieses vernichtende Urteil rührt aus der Tatsache, dass die BImSchV nicht nur die Messanweisung vorgibt, sondern auch Grenzwerte vorschreibt. Diese maximalen Abgasverluste betragen abhängig von der Leistung:

Nennwärmeleistung in Kilowatt Grenzwerte der Abgasverluste in Prozent
zwischen 4 und 25 KW 11%
zwischen 25 und 50 KW 10%
über 50 KW 9%

Man kann sehr leicht ablesen, dass die Heizkessel mit zunehmender Leistung immer effizienter verbrennen müssen. Es lohnt sich gewissermaßen mehr, einen 200-kW-Brenner zu optimieren als einen 20-kW-Brenner.

Die Hüter der BImSchV, also unsere Schornis, messen am Ende doch gemäß BImSchV. Daher: Pfuschen gilt nicht!

Die Hüter der BImSchV, also unsere Schornis, messen am Ende doch gemäß BImSchV. Daher: Pfuschen gilt nicht!

Durchgefallen – und dann?

Drei Werte müssen gemessen werden. Zwei davon lassen sich durchaus beeinflussen. Der dritte Wert, nämlich die Tem­peratur der Verbrennungsluft, ist für eine Einflussnahme kaum geeignet.

Die Abgastemperatur jedoch ist ohne Zweifel eine entscheidende und beeinflussbare Größe. Wäre die Vorgabe der BImSchV nicht so wie sie nun mal ist, so könnte man die Messung beispielsweise auch bei sehr niedrigen Kesseltemperaturen durchführen. Der clevere Hausmeister des Mehrfamilienhauses mit dem abgeranzten Heizkessel lässt zu diesem Zweck den Kessel am Tage der Überprüfung durch den Schornsteinfeger komplett abkühlen. Er hofft dann, dass der Schorni die BImSch-Messung möglichst zügig abwickeln möchte und den noch kalten Kessel misst. Kurz nach dem Brennerstart und bei einem auf Raumtemperatur abgekühlten Kessel würde die Abgastemperatur recht niedrig ausfallen. Klar, ist doch die Wärmeübertragung der Abgase an kalten Kesselwänden besser als an heißen Kesselwänden. Das Frisieren von Messwerten in diesem Bereich, nach dieser Methode, ist jedoch weder für den Anlagenbetreiber oder Hausmeister noch als Vorbereitung auf den Schornsteinfegerbesuch sinnvoll. Denn der Schorni misst letztlich wieder unter vorgegebenen Bedingungen und hohe Abgasverluste kämen ohnehin wieder ans Tageslicht.

Ein erster Schritt zur Minimierung der Abgasverluste ist natürlich das Reinigen des Kessels. Denn Verunreinigungen wie Ruß erschweren die Wärmeübertragung der Flammen an die Kesselwände.

Nach einer gründlichen Kesselreinigung sind die Abgastemperaturen in der Regel deutlich niedriger. Sollte dies nicht ausreichen, kann es sinnvoll sein, beispielsweise die Belastung des Kessels zu senken. Anstatt, wie im Beispiel beschrieben, 25 kW Leistung einzustellen, könnte dieser Wert auf vielleicht 20 kW reduziert werden. Öldurchsatz und damit die Flammengröße wären verringert, die Tauscherfläche bliebe aber gleich groß, was in der Regel zu geringeren Abgastemperaturen führt. Wichtig ist natürlich, dass Kessel und Brenner für diese Änderung geeignet sind. Auch muss natürlich gewährleistet sein, dass das Gebäude noch entsprechend erwärmt werden kann und die Trinkwasser­erwärmung ebenfalls gewährleistet bleibt.

Moderne Messgeräte reduzieren den Aufwand auf die Einhaltung der Messvorgaben wie die Suche nach dem Kernstrom. Gerechnet und angezeigt wird kontinuierlich

Bild: Afriso

Moderne Messgeräte reduzieren den Aufwand auf die Einhaltung der Messvorgaben wie die Suche nach dem Kernstrom. Gerechnet und angezeigt wird kontinuierlich

Alles eine Einstellungsfrage

Die zweite Einflussgröße auf die Berechnung ergibt sich über den Volumengehalt an Sauerstoff im Abgas. Je kleiner dieser Wert ist, desto geringer werden die Abgasverluste. Ein Wert von 10 % ist recht hoch und kann über die Einstellung der Luftzufuhr angepasst werden. Der Hintergrund dieses Ansatzes ist schon etwas schwieriger zu durchblicken. Fakt ist, dass das fein verdüste Heizöl, oder anderenfalls das Erdgas, mit der Umgebungsluft zusammenprallt. Heizöl besteht aus Kohlenstoff (C) und Wasserstoff (H) ebenso wie Erdgas und möchte sich mit dem Luftsauerstoff (O) zu Kohlendioxid verbinden. Dazu schaufelt der Ventilator normalerweise eine angepasste Luftmenge in den Verbrennungsraum. Zu viel Luft ist genauso schädlich wie zu wenig. Zu viel Luft bedeutet, dass ein unnötiger Ballast an Luft erwärmt wird, der dann anschließend ungenutzt zum Schornstein rausjagt. Zu wenig Luft bedeutet, dass nicht jedes Kohlenstoffatom beziehungsweise Wasserstoffatom sein entsprechendes Sauerstoffatom bekommen kann. Die beiden brennbaren Bestandteile C und H würden also nicht komplett genutzt. Daher ist dieser Einfluss verbrennungstechnisch unbedingt über eine korrekte Einstellung herzustellen.

Unterstellen wir mal, dass an dem beispielhaft beschriebenen Kessel die Änderungen erfolgreich vorgenommen wurden. Der ehemals durchgefallene Kessel soll die folgenden Werte bei einer BImSch-gerechten Messung hervorbringen.

Messergebnisse II:

Raumtemperatur im Aufstellraum: 20 °C

Abgastemperatur im Kernstrom: 150 °C

O2-Volumengehalt im Abgas: 6 %


Eingesetzt in die Formel ergibt sich dann:

Der Kessel hätte nach dieser Korrektur Abgasverluste von rund 7 % und wäre mit seinen 20 kW jetzt im grünen Bereich.

Dieser Kessel hat es gewiss hinter sich.  (Obwohl, da geht doch sicherlich noch was…)

Bild: Ministerium für Umwelt, Forsten und Verbraucherschutz Rheinland-Pfalz

Dieser Kessel hat es gewiss hinter sich.
(Obwohl, da geht doch sicherlich noch was…)

Zusammenfassung und Klugschiss

Die BImschV beruht auf Erfahrungen und verlangt das technisch machbare und sinnvolle. Emissionen (hier also die Abgabe von Abgasen) werden in Grenzen gehalten, weil man Mensch und Umgebung vor unnötigen Immissionen nach Möglichkeit schützen möchte. Die Berechnung erfolgt nur noch in Ausnahmen per Hand, da die derzeit genutzten Messgeräte schon lange den Berechnungsprozess beherrschen. Zitieren Sie doch mal das Immissionsschutzgesetz und insbesondere die Verordnung über kleine und mittlere Feuerungsanlagen, die 1. BImSchV, wenn Sie von Ihrem Job erzählen. Sie können natürlich auch einfach sagen: „Isch hab' den Kessel durschjemessen.“

DICTIONARY

Abgasverlust = flue gas loss
Abkürzung = shortcut
Heizkessel = boiler
Wärmeübertragung = thermal transfer

  • *GEG ab dem 01.11.2020 wird aus der EnEV das Gebäude-Energie-Gesetz
  • WERBUNG