Der U-Wert – oder lang gesprochen der Wärmedurchlasskoeffizient – in der Einheit W/(m²K) ist für Architekten, Bauherren, Anlagenmechaniker und viele andere am Bau eines Hauses beteiligte Menschen eine wichtige Größe. Gibt doch dieser Wert Aufschluss über eine Leistung in Watt (W) bezogen auf eine Fläche in Quadratmeter (m²) sowie bezogen auf eine Temperaturdifferenz in Kelvin (K).
Fassbares Beispiel
Als Beispiel betrachten wir ein Fenster mit einer Breite und Höhe von jeweils 1 Meter. Damit beträgt die Fläche genau 1 Quadratmeter.
Dieses Fenster wird laut Hersteller mit einem U-Wert von 1 W/(m²K) an die Baustelle geliefert.
Umgangssprachlich kann man diesen U-Wert mit seiner Einheit W/(m²K) folgendermaßen übersetzen:
Ich gebe 1 Watt Leistung ab, wenn man 1 Quadratmeter meiner Fläche betrachtet und nur 1 Kelvin Temperaturunterschied zwischen drinnen und draußen anliegt. Aber für 1 Kelvin Temperaturdifferenz baut keiner eine Heizung ins Haus:
Drinnen soll es warm werden, auch wenn es draußen sehr kalt ist. Man könnte also annehmen, dass drinnen 20 °C ausreichen, um sich wohlzufühlen. Draußen kann es auch schon mal auf – 10 °C abkühlen. Man stellt sich die Frage, welche Wärmeleistung genau dann an diesem Fenster abgeht.
 
 
 
An diesem Fenster würde eine Leistung von 30 Watt abfließen.
Man könnte jetzt beliebige andere Flächen, U-Werte oder Temperaturdifferenzen einsetzen und sicher voraussagen welche Leistung an diesem Bauteil abfließen würde. Die von uns Anlagenmechanikern eingebauten Heizkörper oder Fußbodenheizungen müssten entsprechend gegensteuern. Nur für die Wärmeabgabe an diesem Fenster müsste also ein Heizkörper 30 Watt liefern. Die anderen Flächen, die diesen Raum umschließen, müssten noch dazu berechnet werden.
Wie wird’s gerechnet?
Die Berechnung des U-Wertes wirkt nur auf den ersten Blick fremd. Hat man die Grundzüge verstanden, ist man in der Lage, zum Teil schon per Kopfrechnung Überschlagswerte auszuspucken.
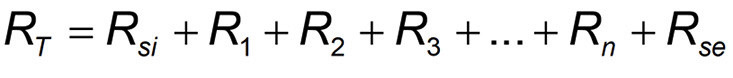
Die Grundformel zur Entwicklung des U-Wertes lautet:
 
 
 
Der U-Wert ergibt sich also aus dem Kehrwert des Wärmedurchlasswiderstandes RT.
Aber wie errechnet sich dann RT? Für diesen Wert gilt folgende Gleichung:
 
 
 
Umgangssprachlich könnte man sagen: Addiere alle Einzelwiderstände zu einem Gesamtwiderstand (RT) auf. Die Einzelwiderstände setzen sich zusammen aus dem ersten (Rsi) und letzten (Rse) vom gleichen Typ, nämlich dem Übergangswiderstand. Dann kommen noch die „Schichtwiderstände“ von Schicht 1 (R1) Schicht 2 (R2) bis zur letzten (n-ten, sprich „Enten“) Schicht (Rn). Die Grundformel legt sich nicht fest in Bezug auf die Anzahl der Schichten. Es können drei Schichten sein (Gipsplatte, Dämmung, Gipsplatte) oder deutlich mehr.
Übergangswiderstände im Detail
Die als Übergangswiderstände bezeichneten Rsi und Rse ergeben sich aus Tabellen.
Für Rsi, also den inneren Übergangswiderstand, sind nur drei Werte relevant. Je nach Wärmestrom ergeben diese sich wie folgt:
▲ Für den Wärmestrom aufwärts gilt: Rsi = 0,10 m²K/W 
(beispielsweise an einer Decke)
► Für den Wärmestrom horizontal gilt: Rsi = 0,13 m²K/W
(beispielsweise an einer Außenwand)
▼ Für den Wärmestrom abwärts gilt: Rsi = 0,17 m²K/W
(beispielsweise an einem Fußboden)
Für Rse also den externen (äußeren) Übergangswiderstand gilt:
Rse = 0,04m²K/W

Schichtwiderstände im Detail
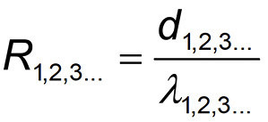
Es fehlen als letzte Größen also nur noch R1 bis Rn also die Schichtwiderstände. Hierfür sieht es formell so aus:
 
 
 
Das heißt: Dicke der betrachteten Schicht geteilt durch den Lambda-Wert dieser Schicht ergibt den Widerstand jeder einzelnen Schicht. Die Dicke der Schicht lässt sich ja noch ausmessen oder irgendwie bestimmen. Aber was hat es mit dem Lambda-Wert (λ-Wert) auf sich?
Der Lambda-Wert beschreibt die Wärmeleitfähigkeit eines Stoffes. Gute Wärmeleiter wie Kupfer haben einen Lambda-Wert von beispielsweise 380 W/(mK).
Das heißt in einer Autobiografie:
Ich bin Kupfer, und selbst wenn ich eine 1 Meter dicke Wand bin, so transportiere ich immer noch 380 Watt an Wärmeleistung, wenn drinnen 20 °C herrschen und draußen 19 °C.
Dem gegenüber hat eine gebräuchliche Isolierung wie Mineralwolle einen Wert von 0,035 W/(mK).
Auch hier die kurze Biografie: Ich bin Mineralwolle, und wenn ich eine 1 Meter dicke Wand bin, so transportiere ich nur noch 0,035 Watt an Wärmeleistung, wenn drinnen 20 °C herrschen und draußen 19 °C.
Die Klassische Außenwand
Um das Gefühl für einen konkreten Wert zu bekommen, ist hier eine klassische Außenwand gegeben mit folgenden Schichten, aufgezählt von innen nach außen:
Schicht 1:
1,5 cm Innenputz mit
λ-Wert von 0,87 W/(mK)
Schicht 2:
24 cm Kalksandstein mit
λ-Wert von 0,56 W/(mK)
Schicht 3:
10 cm Mineralwolle mit
λ-Wert von 0,035 W/(mK)
Schicht 4:
1,0 cm Außenputz mit
λ-Wert von 0,70 W/(mK)
Die Werte werden gesammelt:
Rsi = 0,13 m²K/W (horizontal innen)
Rse = 0,04 m²K/W (extern, außen)
 
 
 
Die Addition der Widerstände ergibt den Gesamtwiderstand.
 
 
 Ein anderes, viel spannenderes Wort für Kehrwert ist das Wort Reziprok oder etwas weniger lässig der reziproke Wert. Benutzen Sie es in einem fachlichen Gespräch und punkten Sie mit diesem kleinen aber feinen I-Tüpfelchen.
An dieser schon recht gut isolierenden Außenwand würden bei einer angenommenen Fläche von 10 Quadratmetern und einer Temperaturdifferenz zwischen drinnen und draußen von 30 Kelvin
 
 
 
rund 86 Watt abgegeben.
Es ist schon durch bloßes Hinschauen relativ klar, dass Wärmedämmungen ein Gebäude gegen Auskühlung schützen. Schaut man sich die Formel zur Berechnung dieses U-Wertes an, wird schnell deutlich: Der größte Wärmedurchgangswiderstand – hier im Beispiel Schicht 3 mit 2,857 m²K/W – wird durch die Wärmedämmschicht erreicht.
Der gesamte Aufbau ist 36,5 cm dick. Dabei beträgt die Dämmung 10 cm und damit rund 27 % der gesamten Dicke der Wand. Die Dämmung allein macht aber 82 % des gesamten Widerstandes aus.
Alle Widerstände zusammen ergeben den Gesamtwiderstand, und dessen Reziprok ergibt den U-Wert.
Was gibt’s noch?
Dadurch, dass man den Rechenzauber eines U-Wertes entzaubert hat, versteht man auch viele andere Zusammenhänge, so beispielsweise diesen:
Reihenfolge der Schichten
Die Reihenfolge eines Wandaufbaus kann für den U-Wert nur egal sein, denn an welcher Stelle die Addition stattfindet, spielt weder beim Addieren noch beim endgültigen U-Wert eine Rolle.
Nicht so beim Temperaturverlauf: Bei absolut gleichen Schichten hängt der Verlauf der Temperatur erheblich von der jeweiligen Lage der Schicht ab.
Folgen Sie der nachstehenden Logik und verstehen Sie was gemeint ist:
Der Gesamtwiderstand der Wand ist für die gesamte Temperaturdifferenz verantwortlich.
Im Beispiel ist es drinnen 20 °C warm und draußen − 10 °C kalt. Dazwischen blockt der Gesamtwiderstand mit 3,487 m²K/W die beiden Temperaturen gegeneinander ab. Und jeder einzelne Widerstand trägt genau seinen prozentualen Beitrag dazu bei:
0,130/3,487 = 3,70 %
0,017/3,487 = 0,49 %
0,429/3,487 = 12,3 %
2,857/3,487 = 81,9 %
0,014/3,487 = 0,40 %
0,040/3,487 = 1,15 %
3,70 % von 30 K entspricht 1,12 K
0,49 % von 30 K entspricht 0,15 K
12,3 % von 30 K entspricht 3,69 K
81,9 % von 30 K entspricht 24,6 K
0,40 % von 30 K entspricht 0,12 K
1,15 % von 30 K entspricht 0,34 K
Das sind Rechenspielchen, könnte man denken. Fakt ist aber, dass die Dämmung außen, also wie im Beispiel berechnet, einen anderen Temperaturverlauf in der Wand zur Folge hat wie die gleiche Dämmung innen eingesetzt. Die zwei Grafiken zeigen dies anschaulich.
Und nun kann man raten, welcher Wandtyp innen mehr Speicherkapazität bietet bezüglich der Wärme? Genau, der Wandtyp mit der Außendämmung.
Beide Wände haben den gleichen U-Wert, verhalten sich aber unterschiedlich. So ist beispielsweise das Aufheizverhalten bei Außendämmung deutlich behäbiger. Tonnenweise Stein wollen zuerst erwärmt werden, da sie innen auf der warmen Seite liegen. Dafür kühlt die Wand mit Außendämmung natürlich auch nur ganz behäbig ab, weil die aufgeheizte warme Speichermasse sich nur sehr langsam entwärmen lässt. Selbst wenn man mal ein Fenster zum Lüften öffnet, bleibt die innenliegende, schwere Kalksandsteinwand warm. Während des Lüftens im Winter bleibt es länger behaglich im Raum.
Nicht so bei der Innendämmung. Da lässt sich ein Raum sehr flink aufheizen, hat aber kaum erwärmte Speichermasse zur Verfügung, denn die zum Raum gerichtete Wolle wiegt ja nicht viel. Ein solcher Raum kühlt bei offenem Fenster also schneller empfindlich ab.
Spinnt man die Situation weiter auf eine massive Wand nur aus Beton und eine Leichtbauwand nur aus Holz und Dämmung, so wäre der anschauliche Vergleich eines Bunkers mit einem Holzhaus geboren. Beide sollen den gleichen U-Wert besitzen, aber beide werden sich aufgrund der Speichermasse der Außenwände unterschiedlich verhalten. Solche Gedankenexperimente funktionieren übrigens gut mit solchen krassen Unterschieden. Damit kann man auch einem Laien gut beschreiben, was Sache ist.
Wirtschaftlichkeit von Dämmung
Seit Jahren werden bestehende Häuser in Deutschland nachträglich gedämmt. Dieser Trend sollte dafür sorgen, dass die Heizkosten in diesen frisch gedämmten Häusern sinken. Da stellt man sich schnell die Frage nach dem Nutzen von Dämmung oder, um auf das Thema des Berichts zurückzukommen, wie wirken sich die Kosten einer Dämmung auf die zu erwartende Einsparung aus?
Dazu schauen wir uns eine sanierte Wand mit unterschiedlicher Dämmung an. In Schritten von jeweils einem Zentimeter wird die Schichtdicke und damit der Aufwand zur Dämmung des Hauses erhöht.
Eine Außenwand mit Innenputz und 36,5er Kalksandstein ist dabei die Ausgangsbasis.
In der nachfolgenden Tabelle steht in der ersten Zeile diese Wand mit R- und U-Wert als Basis.
Wird dann ein Zentimeter Dämmung aufgebracht, verändert sich der Wert beträchtlich, bei zwei Zentimeter ist die Veränderung immer noch riesig, aber nicht mehr so groß wie beim ersten Zentimeter.
Die Veränderung wird mit steigender Dämmschichtdicke immer geringer, betrachtet man den U-Wert und damit die Wärmeabgabe.
Vergleicht man, um die Erkenntnisse dieses Rechenbeispiels auf den berühmten Punkt zu bringen, die ersten fünf Zentimeter mit der nächsten Verdoppelung auf zehn Zentimeter, so stellt man fest, dass eine Verdoppelung von fünf auf zehn Zentimeter nicht annähernd eine Verdoppelung der Dämmwirkung erbracht hat.
Grafisch lässt sich das auch noch mal anschaulich darstellen. Die Zunahme der Dämmstärke hat einen immer geringeren Effekt.Die Logik des Alltags lässt sich also nicht auf die Logik eines U-Wertes übertragen.
Es gibt also immer auch einen wichtigen Blickpunkt, der Aufwand und Nutzen gegeneinander abwägt. Das Dämmen von Häusern oder auch von Rohrleitungen ist auch wirtschaftlichen Zwängen unterworfen. Es lohnen sich die ersten 3 Zentimeter am meisten.
Ein etwas verwirrter Anlagenmechaniker würde dann zu dem Schluss kommen: Okay, dann dämme ich statt einmal mit 12 Zentimeter lieber 4 mal mit 3 Zentimeter und kann diesen Effekt dann mehrfach nutzen. Träum weiter …
Der Einspareffekt für eine zunehmende Dämmstärke nimmt immer mehr ab. Ob sich immer dickere Dämmung finanziell lohnt, egal ob auf der Hauswand oder um ein Heizungsrohr gewickelt, hängt auch vom Energiepreis ab. Gleiches gilt für den Nutzen bei der Einsparung von CO2.
Das Dämmmaterial muss ja schließlich auch mit energetischem Aufwand hergestellt werden und diesen dann innerhalb der Nutzungsdauer wieder einsparen, um nützlich zu erscheinen.
Dämmung ist gut, ist aber wirtschaftlichen Grenzen und Nutzungsbedingungen unterworfen.
 
 Bild: Dudarev Mikhail – stock.adobe.com
 
 Bild: a.oleshko – stock.adobe.com
 
 Bild: KurtErik – stock.adobe.com
 
 Bild: IBH
 
 
  
 Bild: IBH
 
 Bild: zlikovec – stock.adobe.com
Was der Übergangswiderstand bezeichnet
Wenn Sie die Wahl haben, sich nackt einer eiskalten Außentemperatur auszusetzen, ist es dann voraussichtlich mit schnellerem Wärmefluss verbunden, wenn Sie dabei auf einer sturmumtosten Bergspitze hocken oder in einem absolut winddichten kleinen Zelt? Richtig, da ist ein Unterschied. Und der ergibt sich aus den voraussichtlichen Wärmeübergangswiderständen dieser beiden äußeren Situationen bei ansonsten gleichen Temperaturen. Man friert effektiv schneller, wenn man nackt auf Bergspitzen hockt, als dies im Zelt der Fall wäre. Der Widerstand wäre auf dem Berg gering und nur 0,04 m²K/W, während er im Zelt höher wäre, nämlich an den Füßen 0,17 m²K/W, am Kopf 0,10 m²K/W und an den Seiten 0,13 m²K/W.
Merke: Hoher Widerstand, geringere Abgabe …
 
     
     
     
     
     
     
    